首页
伤感说说
动漫配图
心情说说
抖音文案
伤感图片
伤感说说:
伤感的句子说说心情
空间说说
心情说说
爱情说说
女生伤感说说
人生感悟
心情不好的说说
说说带图片
关于生活的说说
说说心情短语
qq空间说说带图片
个性说说
励志名言
一句话经典语录
感悟人生的经典句子
短句吧
情感故事
抖音文案
伤感图片:
伤感图片带字
非主流伤感图片
唯美伤感图片
女生伤感图片
唯美意境图片
悲伤的图片
唯美意境伤感图片
只有字的伤感图片
说说图片
伤心的图片
美甲图片
图片大全
情感图片
微信头像男
动态壁纸
动漫配图
伤感图片
首页
>
预期信用损失法
预期信用损失法,信用
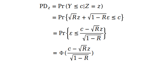
会计司:金融工具准则应用案例—预期信用损失法应用案例两则
会计司:金融工具准则应用案例—预期信用损失法应用案例两则
会计司:金融工具准则应用案例—预期信用损失法应用案例两则
会计司:金融工具准则应用案例—预期信用损失法应用案例两则
会计司:金融工具准则应用案例—预期信用损失法应用案例两则
更多推荐
信用
信用分
信用体系
信用贷款
预期
风险损失
个人信用
企业信用
芝麻信用
信用中国
预期成果
信用图片
损失金额
芝麻信用截图
信用无价
个人信用图片
企业信用报告
损失
预期管理
信用村
资产损失
预期寿命
机构信用代码证
信用卡图片
统一社会信用代码
预期目标
预期图片
精神损失费
信用漫画
人均预期寿命