首页
伤感说说
动漫配图
心情说说
抖音文案
伤感图片
伤感说说:
伤感的句子说说心情
空间说说
心情说说
爱情说说
女生伤感说说
人生感悟
心情不好的说说
说说带图片
关于生活的说说
说说心情短语
qq空间说说带图片
个性说说
励志名言
一句话经典语录
感悟人生的经典句子
短句吧
情感故事
抖音文案
伤感图片:
伤感图片带字
非主流伤感图片
唯美伤感图片
女生伤感图片
唯美意境图片
悲伤的图片
唯美意境伤感图片
只有字的伤感图片
说说图片
伤心的图片
美甲图片
图片大全
情感图片
微信头像男
动态壁纸
动漫配图
伤感图片
首页
>
光遇乐谱猪猪侠
光遇乐谱猪猪侠,光遇乐谱熊出没
光遇cityofstars乐谱cityofstars怎么弹
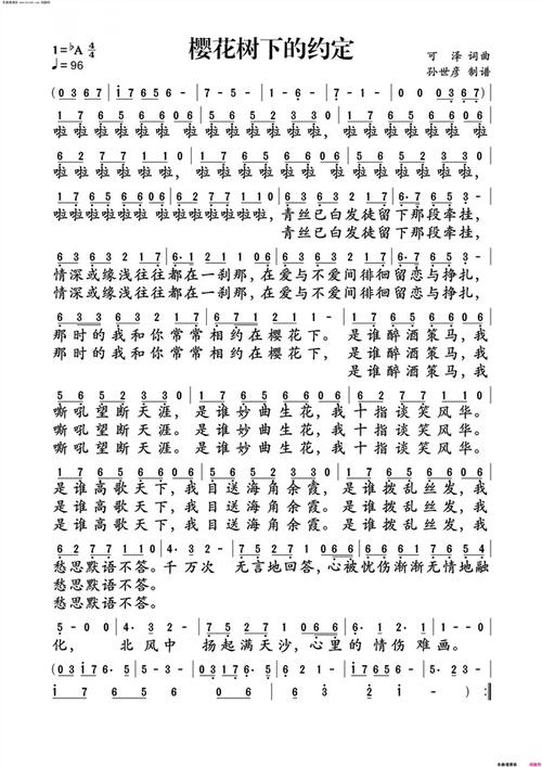
光遇樱花树下的约定乐谱分享
《sky光遇》歌曲安和桥乐谱分享
sky光遇完整版阿拉斯加海湾光遇乐谱
高音钢琴乐谱: 点击查看
更多推荐
光遇乐谱熊出没
光遇乐谱海底
光遇乐谱起风了
光遇乐谱号角
光遇猪猪侠乐谱
猪猪侠乐谱
猪猪侠五线谱
猪猪侠简谱钢琴
猪猪侠主题曲简谱
光遇钢琴乐谱
光遇乐谱
光遇乐谱铃铛
猪猪侠钢琴简谱数字
光遇乐谱下载
光遇乐谱撒野
光遇乐谱先祖
猪猪侠单人
猪猪侠主题曲
光遇乐谱千本樱
猪猪侠
光遇乐谱sky
猪猪侠第一部
光遇琴谱
猪猪侠之恐龙日记
熊出没乐谱
猪猪侠菲菲
光遇琴谱简单
囍光遇钢琴谱
光遇乐谱天空之城
光遇竖琴琴谱