首页
伤感说说
动漫配图
心情说说
抖音文案
伤感图片
伤感说说:
伤感的句子说说心情
空间说说
心情说说
爱情说说
女生伤感说说
人生感悟
心情不好的说说
说说带图片
关于生活的说说
说说心情短语
qq空间说说带图片
个性说说
励志名言
一句话经典语录
感悟人生的经典句子
短句吧
情感故事
抖音文案
伤感图片:
伤感图片带字
非主流伤感图片
唯美伤感图片
女生伤感图片
唯美意境图片
悲伤的图片
唯美意境伤感图片
只有字的伤感图片
说说图片
伤心的图片
美甲图片
图片大全
情感图片
微信头像男
动态壁纸
动漫配图
伤感图片
首页
>
函数公式大全及图解
函数公式大全及图解,Excel常用公式大全
高中三角函数公式大全
幂函数公式
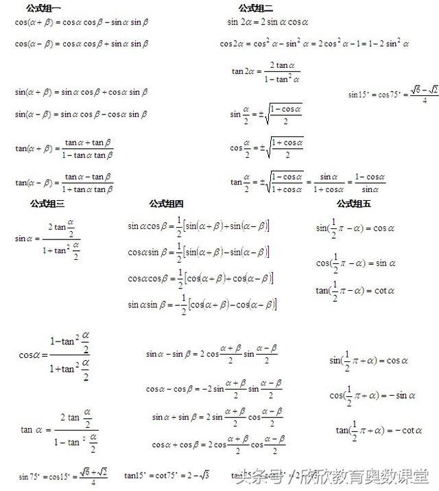
高中数学三角函数公式大全(重要知识点梳理)
excel中数学函数和三角函数公式大全.xlsx
高中三角函数公式总结资料
更多推荐
Excel常用公式大全
excel函数公式
函数公式图片
函数知识点
函数图解
round函数
函数值
6种基本初等函数图像
函数的基本公式
幂函数指数函数
乘法函数
表格函数
初中所有函数图像
函数cos
计算机函数公式大全
一次函数图解
sum函数
导数公式大全及图解
函数f(x)
所有函数的图像和性质
excel最常用的八个函数
函数值域
函数分类
数学函数公式大全
减法函数
二次函数开口方向
函数区间
初中函数入门基础知识
函数的导数公式
三角函数单调性