首页
伤感说说
动漫配图
心情说说
抖音文案
伤感图片
伤感说说:
伤感的句子说说心情
空间说说
心情说说
爱情说说
女生伤感说说
人生感悟
心情不好的说说
说说带图片
关于生活的说说
说说心情短语
qq空间说说带图片
个性说说
励志名言
一句话经典语录
感悟人生的经典句子
短句吧
情感故事
抖音文案
伤感图片:
伤感图片带字
非主流伤感图片
唯美伤感图片
女生伤感图片
唯美意境图片
悲伤的图片
唯美意境伤感图片
只有字的伤感图片
说说图片
伤心的图片
美甲图片
图片大全
情感图片
微信头像男
动态壁纸
动漫配图
伤感图片
首页
>
空气含湿量对照表
空气含湿量对照表,干空气含湿量
相对湿度对照表和湿空气的含湿量.ppt
1. 空压机进气状态的空气含湿量和典型数据
含湿量 d (g/kg干空气) 1.082 1.183 1.292 1.405 1.535 1.673 1.
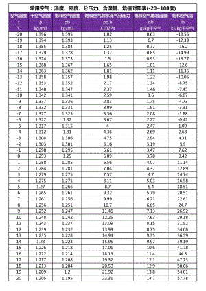
常用空气:温度,密度,分压力,含湿量,焓值对照表(-20~100度)
不同温度下饱和湿空气含水量
更多推荐
干空气含湿量
空气焓湿表
空气含湿量表
湿空气焓湿图
温湿度含水量对照表
空气中溶解氧对照表
饱和溶解氧对照表
空气
水中饱和溶解氧对照表
空气流海
数字能量对照表
空气烫
空气检测
向上排空气法
空气烫女士
时辰对照表
标准视力对照表
北京空气
空气循环扇
空气图片
十二时辰对照表
空气烫蓬松
血糖与年龄对照表
空气烫齐肩
男女胎心率对照表
空气烫男
空气滤芯
空气卡通
电视尺寸对照表
戒指尺寸对照表