首页
伤感说说
动漫配图
心情说说
抖音文案
伤感图片
伤感说说:
伤感的句子说说心情
空间说说
心情说说
爱情说说
女生伤感说说
人生感悟
心情不好的说说
说说带图片
关于生活的说说
说说心情短语
qq空间说说带图片
个性说说
励志名言
一句话经典语录
感悟人生的经典句子
短句吧
情感故事
抖音文案
伤感图片:
伤感图片带字
非主流伤感图片
唯美伤感图片
女生伤感图片
唯美意境图片
悲伤的图片
唯美意境伤感图片
只有字的伤感图片
说说图片
伤心的图片
美甲图片
图片大全
情感图片
微信头像男
动态壁纸
动漫配图
伤感图片
首页
>
圆周率前200位
圆周率前200位,圆周率200位图片记忆
圆周率400万位.doc
圆周率前100位
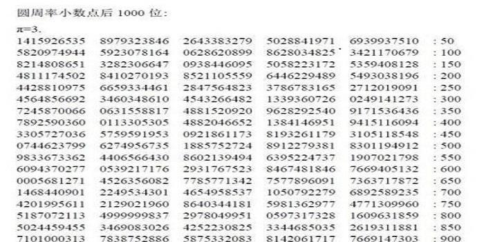
原创圆周率前1000位
圆周率的来源和2000位
圆周率15000位.docx
更多推荐
圆周率200位图片记忆
圆周率200位图片
圆周率前100位图片
圆周率1000000位
圆周率前100位
圆周率前100位位数
圆周率30000位
圆周率200位
圆周率前50位
圆周率前30位
圆周率前60位
圆周率400位
圆周率300位
圆周率100位
圆周率500位
圆周率前10000位数字
圆周率前200位图片
圆周率50位
圆周率10亿位
圆周率前100位字母
圆周率1000000位完整版
圆周率100位口诀
圆周率有多少位
圆周率300位图片
圆周率前100位的数字
圆周率100位数值
圆周率前50位图片
圆周率100位图片
圆周率前60位图片
圆周率前100位顺口溜