首页
伤感说说
动漫配图
心情说说
抖音文案
伤感图片
伤感说说:
伤感的句子说说心情
空间说说
心情说说
爱情说说
女生伤感说说
人生感悟
心情不好的说说
说说带图片
关于生活的说说
说说心情短语
qq空间说说带图片
个性说说
励志名言
一句话经典语录
感悟人生的经典句子
短句吧
情感故事
抖音文案
伤感图片:
伤感图片带字
非主流伤感图片
唯美伤感图片
女生伤感图片
唯美意境图片
悲伤的图片
唯美意境伤感图片
只有字的伤感图片
说说图片
伤心的图片
美甲图片
图片大全
情感图片
微信头像男
动态壁纸
动漫配图
伤感图片
首页
>
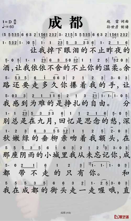
成都简谱视唱
成都简谱视唱,成都简谱视唱教学
成都简谱赵雷歌曲孙世彦曲谱
《成都》原创歌曲简谱,赵雷作词 赵雷作曲 赵雷演唱
成都简谱-赵雷演唱-孙世彦制谱
成都简谱成都的吉他数字谱
《成都》原创歌曲简谱,通俗歌曲,国语歌曲谱,赵雷作词
更多推荐
成都简谱视唱教学
简谱视唱简单
简谱视唱谱子
成都简谱视唱完整版
成都简谱
简谱视唱
简谱视唱入门
《成都》简谱教唱
简谱视唱教学
简谱视唱教程
小学简谱视唱
梁祝简谱视唱
简谱视唱练耳
儿歌简谱视唱
成都简谱歌谱完整版
简谱视唱100条谱例
赵方幸简谱视唱
40条简谱视唱
简谱视唱100条
简谱视唱基本教程谱子
嘎达梅林简谱视唱
简谱视唱练耳100条
简谱视唱100条音频
简谱视唱初级训练1
《成都》吉他弹唱教学
《云水禅心》简谱视唱
成都
四川成都
成都特产
成都49中