首页
伤感说说
动漫配图
心情说说
抖音文案
伤感图片
伤感说说:
伤感的句子说说心情
空间说说
心情说说
爱情说说
女生伤感说说
人生感悟
心情不好的说说
说说带图片
关于生活的说说
说说心情短语
qq空间说说带图片
个性说说
励志名言
一句话经典语录
感悟人生的经典句子
短句吧
情感故事
抖音文案
伤感图片:
伤感图片带字
非主流伤感图片
唯美伤感图片
女生伤感图片
唯美意境图片
悲伤的图片
唯美意境伤感图片
只有字的伤感图片
说说图片
伤心的图片
美甲图片
图片大全
情感图片
微信头像男
动态壁纸
动漫配图
伤感图片
首页
>
数字题计算题
数字题计算题,数字题数学题
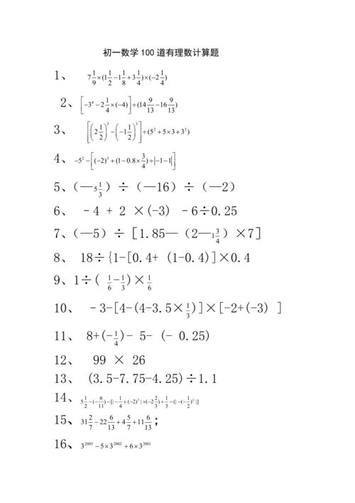
初一数学100道有理数计算题
部编一年级下册数学计算题练习1200道
两位数乘两位数计算题100道有答案1docx4页
初一数学100道有理数计算题
五年级基本计算题1000道doc23页
更多推荐
数字题数学题
计算题口算
简便计算题运算
三年级计算题数学题
计算题答案
计算题
简便计算题
解比例的题计算题
数学计算题答案
数字题
物理计算题
计算题二年级
四年级计算题
计算题四年级
四年级数学计算题
五年级计算题
三年级计算题
计算题三年级
计算题六年级
计算题乘除法
计算题一年级
解比例计算题
计算题解比例
四年级计算题800道题
简便计算题乘法
三年级计算题大全800题
数学趣味题
三年级计算题答案
三年级下册数学计算题
简便计算题人教版