首页
伤感说说
动漫配图
心情说说
抖音文案
伤感图片
伤感说说:
伤感的句子说说心情
空间说说
心情说说
爱情说说
女生伤感说说
人生感悟
心情不好的说说
说说带图片
关于生活的说说
说说心情短语
qq空间说说带图片
个性说说
励志名言
一句话经典语录
感悟人生的经典句子
短句吧
情感故事
抖音文案
伤感图片:
伤感图片带字
非主流伤感图片
唯美伤感图片
女生伤感图片
唯美意境图片
悲伤的图片
唯美意境伤感图片
只有字的伤感图片
说说图片
伤心的图片
美甲图片
图片大全
情感图片
微信头像男
动态壁纸
动漫配图
伤感图片
首页
>
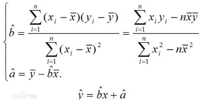
线性回归方程
线性回归方程,线性回归方程公式
线性回归方程公式b怎么求
线性回归方程公式b怎么求
最小二乘法多元线性回归高中数学最小二乘法与线性回归方程
(七)线性回归
定义,也未必会做题,线性回归方程仍然是高中数学中很多同学头疼的部分
更多推荐
线性回归方程公式
线性回归图
最小二乘法
线性回归
相关系数
回归直线方程
高中线性回归方程
多元线性回归
回归方程
回归方程公式
线性回归方程例题详解
线性回归模型
非线性回归
方程方法
线性回归图怎么画
方程
抛物线方程及图像
二元一次方程
式与方程
方程算式
分数方程
方程结构图
方程计算题
方程四年级
方程思维导图
方程五年级
方程表白
解方程
一元一次方程
式与方程思维导图