首页
伤感说说
动漫配图
心情说说
抖音文案
伤感图片
伤感说说:
伤感的句子说说心情
空间说说
心情说说
爱情说说
女生伤感说说
人生感悟
心情不好的说说
说说带图片
关于生活的说说
说说心情短语
qq空间说说带图片
个性说说
励志名言
一句话经典语录
感悟人生的经典句子
短句吧
情感故事
抖音文案
伤感图片:
伤感图片带字
非主流伤感图片
唯美伤感图片
女生伤感图片
唯美意境图片
悲伤的图片
唯美意境伤感图片
只有字的伤感图片
说说图片
伤心的图片
美甲图片
图片大全
情感图片
微信头像男
动态壁纸
动漫配图
伤感图片
首页
>
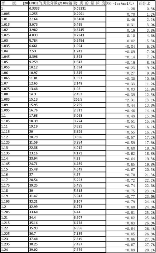
硝酸浓度对照表
硝酸浓度对照表,硫酸摩尔浓度对照表
硝酸浓度,比重,温度对照表
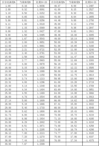
硝酸的百分比浓度,当量浓度及比重对照表
硝酸溶液的浓度,溶质的质量分数和密度
硝酸浓度与比重
硝酸的百分比浓度,当量浓度及比重对照表.doc
更多推荐
硫酸摩尔浓度对照表
硝酸浓度密度对照表
盐酸浓度与密度对照表
氢氧化钠浓度对照表
双氧水浓度对照表
硝酸密度
盐酸浓度对照表
硝酸浓度
硫酸浓度对照表
氢氟酸浓度对照表
密度表
硫酸凝固点对照表
浓硫酸密度对照表
酒精浓度对照表
酒精相对密度对照表
双氧水摩尔浓度对照表
酒精密度对照表
盐酸浓度
氧气浓度
浓度
溶液浓度
硝酸镉
氧浓度
硝酸铬
硝酸酯
硝酸磷肥
硝酸锆
氧浓度计算
硝酸亚铁
硝酸铵