首页
伤感说说
动漫配图
心情说说
抖音文案
伤感图片
伤感说说:
伤感的句子说说心情
空间说说
心情说说
爱情说说
女生伤感说说
人生感悟
心情不好的说说
说说带图片
关于生活的说说
说说心情短语
qq空间说说带图片
个性说说
励志名言
一句话经典语录
感悟人生的经典句子
短句吧
情感故事
抖音文案
伤感图片:
伤感图片带字
非主流伤感图片
唯美伤感图片
女生伤感图片
唯美意境图片
悲伤的图片
唯美意境伤感图片
只有字的伤感图片
说说图片
伤心的图片
美甲图片
图片大全
情感图片
微信头像男
动态壁纸
动漫配图
伤感图片
首页
>
羧甲基纤维素结构式
羧甲基纤维素结构式,淀粉的结构式
羧甲基纤维素结构式,分子式,用途?
羧甲基纤维素钠
羧甲基纤维素钠(cmc)分子结构
甲基纤维素,羟丙基甲基纤维素,羟乙基纤维素和羧甲基纤维素等常规产品
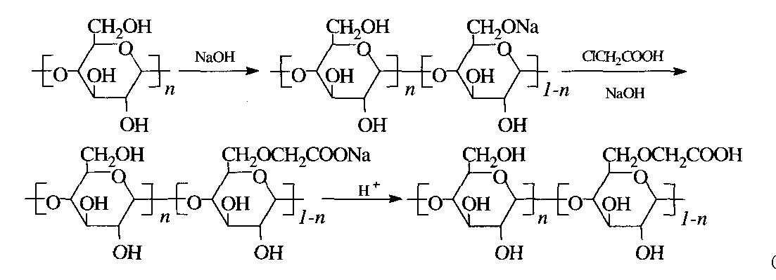
8羧甲基纤维素的合成
更多推荐
淀粉的结构式
羟丙基纤维素
纤维素结构式
纤维素结构
纤维素结构图
羟丙基甲基纤维素
纤维素分子式
甲基纤维素
纤维素纤维
羟甲基纤维素钠
纤维素分子
肽键结构式
羟丙甲纤维素
纤维素
结构式
乙酸乙酯结构式
苯的结构式
乙烯结构式
乙酸结构式
hno3结构式
氨基酸结构式
乙醇结构式
硫酸的结构式
水的结构式
甲醛结构式
小麦纤维素
木质纤维素
纤维素图片
纤维素的作用
羟丙甲纤维素滴眼液