首页
伤感说说
动漫配图
心情说说
抖音文案
伤感图片
伤感说说:
伤感的句子说说心情
空间说说
心情说说
爱情说说
女生伤感说说
人生感悟
心情不好的说说
说说带图片
关于生活的说说
说说心情短语
qq空间说说带图片
个性说说
励志名言
一句话经典语录
感悟人生的经典句子
短句吧
情感故事
抖音文案
伤感图片:
伤感图片带字
非主流伤感图片
唯美伤感图片
女生伤感图片
唯美意境图片
悲伤的图片
唯美意境伤感图片
只有字的伤感图片
说说图片
伤心的图片
美甲图片
图片大全
情感图片
微信头像男
动态壁纸
动漫配图
伤感图片
首页
>
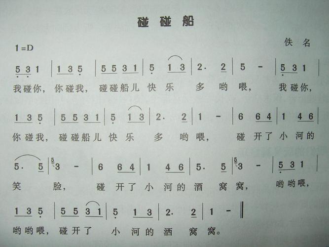
碰碰船简谱
碰碰船简谱,碰碰船儿歌简谱
歌曲:碰碰船
园所主页 班级主页 大二 园内生活 歌曲,《碰碰船》
碰碰船简谱_碰碰船三字歌谱曲谱_三字歌谱_818简谱
园所主页 中班三班 学习乐园 歌曲:碰碰船 发布时间
园所主页 小五班 我的本领 歌曲《碰碰船》 发布时间
更多推荐
碰碰船儿歌简谱
碰碰船儿歌
碰碰船儿歌钢琴谱
简谱
碰碰船
快乐碰碰船
儿童碰碰船
钢琴简谱
小星星简谱
儿歌简谱
梁祝简谱
送别简谱
水上碰碰船
大鱼简谱
简谱初学者
虫儿飞简谱
南海碰碰船
女儿情简谱
映山红简谱
碰碰船图片
碰碰船卡通
凉凉简谱
大风吹简谱
碰碰船简笔画
天空之城简谱
我和我的祖国简谱
起风了简谱
歌唱祖国简谱
两只老虎简谱
生日快乐简谱