首页
伤感说说
动漫配图
心情说说
抖音文案
伤感图片
伤感说说:
伤感的句子说说心情
空间说说
心情说说
爱情说说
女生伤感说说
人生感悟
心情不好的说说
说说带图片
关于生活的说说
说说心情短语
qq空间说说带图片
个性说说
励志名言
一句话经典语录
感悟人生的经典句子
短句吧
情感故事
抖音文案
伤感图片:
伤感图片带字
非主流伤感图片
唯美伤感图片
女生伤感图片
唯美意境图片
悲伤的图片
唯美意境伤感图片
只有字的伤感图片
说说图片
伤心的图片
美甲图片
图片大全
情感图片
微信头像男
动态壁纸
动漫配图
伤感图片
首页
>
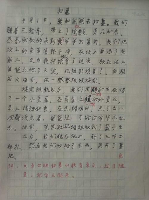
扫墓作文
扫墓作文,文明扫墓
清明节扫墓作文200字.doc
清明节扫墓作文200字10篇实用
清明节作文:清明节扫墓.docx
扫墓作文重阳节扫墓作文范文.pdf 5页
扫墓及四月初游学作文(四年级下)
更多推荐
文明扫墓
作文
扫墓
扫墓真实
作文大全
作文格式
清明扫墓
网上扫墓
扫墓祭祖
心愿作文
抄写作文
作文纸
扫墓祭祀
农村扫墓
恐怖作文
作文400字
搞笑作文
作文300字
作文200字
扫墓古代
扫墓手抄报
扫墓图片
作文100字
扫墓画报
扫墓卡通
作文我的家乡
扫墓儿童
扫墓花篮
扫墓花束
作文大自然