首页
伤感说说
动漫配图
心情说说
抖音文案
伤感图片
伤感说说:
伤感的句子说说心情
空间说说
心情说说
爱情说说
女生伤感说说
人生感悟
心情不好的说说
说说带图片
关于生活的说说
说说心情短语
qq空间说说带图片
个性说说
励志名言
一句话经典语录
感悟人生的经典句子
短句吧
情感故事
抖音文案
伤感图片:
伤感图片带字
非主流伤感图片
唯美伤感图片
女生伤感图片
唯美意境图片
悲伤的图片
唯美意境伤感图片
只有字的伤感图片
说说图片
伤心的图片
美甲图片
图片大全
情感图片
微信头像男
动态壁纸
动漫配图
伤感图片
首页
>
双十字相乘法
双十字相乘法,十字相乘法
【最新】人教版八年级数学上册《十字相乘法分解因式》公开课课件ppt
初中数学:因式分解之双十字相乘法精讲
双十字相乘法
十字相乘法(优质课件
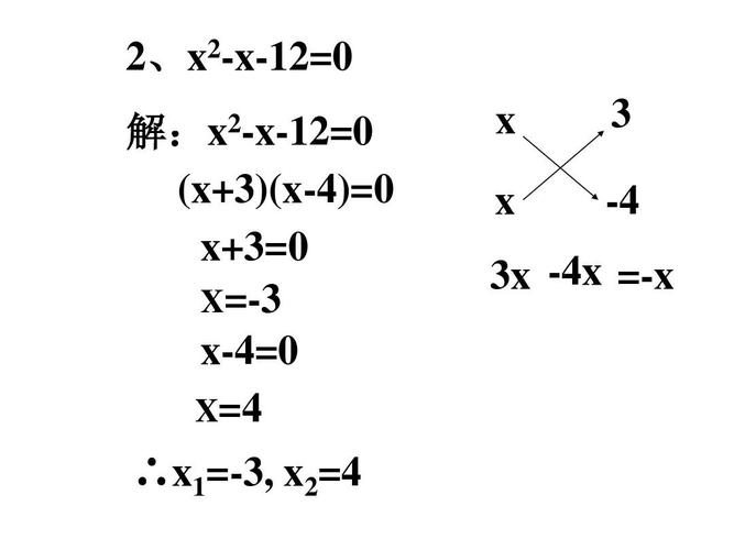
用十字相乘法解一元二次方程ppt
更多推荐
十字相乘法
十字相乘法公式
十字相乘法讲解
十字相乘法图解
十字相乘法例题
十字相乘法口诀
十字相乘法ppt
十字相乘法的过程
双十字相乘法公式图解
十字相乘
双十字相乘法因式分解
双十字相乘法详细图解
双十字相乘法口诀图解
十字相乘法公式图解
因式分解十字相乘法
十字相乘法公式技巧
十字相乘法详细图解
十字相乘法分解因式
十字相乘法口诀图解
十字相乘法例题20道
交叉相乘法
十字交叉法
交叉相乘法公式图解
分数交叉相乘法图解
向量相乘公式
十字交叉法口诀图解
双叉十字形态
双叉十字斩
向量相乘
待定系数法