首页
伤感说说
动漫配图
心情说说
抖音文案
伤感图片
伤感说说:
伤感的句子说说心情
空间说说
心情说说
爱情说说
女生伤感说说
人生感悟
心情不好的说说
说说带图片
关于生活的说说
说说心情短语
qq空间说说带图片
个性说说
励志名言
一句话经典语录
感悟人生的经典句子
短句吧
情感故事
抖音文案
伤感图片:
伤感图片带字
非主流伤感图片
唯美伤感图片
女生伤感图片
唯美意境图片
悲伤的图片
唯美意境伤感图片
只有字的伤感图片
说说图片
伤心的图片
美甲图片
图片大全
情感图片
微信头像男
动态壁纸
动漫配图
伤感图片
首页
>
黎曼函数
黎曼函数,黎曼函数图形
黎曼函数
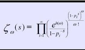
我们注意到 黎曼函数是 ζ(s) 在整个复平面的解析延拓,将 s 的
3ppt (7) 黎曼函数 p p 1 q , 当 x q ( p , q n , q 既 约
黎曼ζ函数
p>黎曼函数(riemann function)是一个特殊函数,由德国数学家黎曼发现
更多推荐
黎曼函数图形
黎曼函数表达式
狄利克雷函数
欧拉函数
复变函数
黎曼空间
纳维斯托克斯方程
zeta函数
高斯函数
五个最美丽的函数图像
黎曼ζ函数
黎曼函数图像
黎曼
指数函数图像
对数函数图像
函数
黎曼积分
徐黎曼
函数公式
一次函数
黎曼几何
黎曼流形
黎曼手稿
黎曼曲面
函数图像
if函数
三角函数
函数表
黎曼图片
黎曼球面