首页
伤感说说
动漫配图
心情说说
抖音文案
伤感图片
伤感说说:
伤感的句子说说心情
空间说说
心情说说
爱情说说
女生伤感说说
人生感悟
心情不好的说说
说说带图片
关于生活的说说
说说心情短语
qq空间说说带图片
个性说说
励志名言
一句话经典语录
感悟人生的经典句子
短句吧
情感故事
抖音文案
伤感图片:
伤感图片带字
非主流伤感图片
唯美伤感图片
女生伤感图片
唯美意境图片
悲伤的图片
唯美意境伤感图片
只有字的伤感图片
说说图片
伤心的图片
美甲图片
图片大全
情感图片
微信头像男
动态壁纸
动漫配图
伤感图片
首页
>
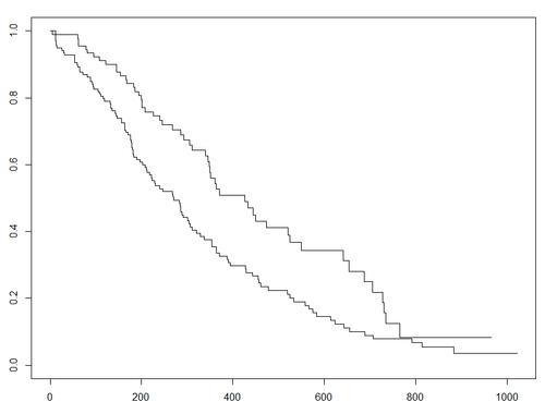
生存曲线图
生存曲线图,生命曲线图
原创如何阅读一张生存曲线图?
保存的生存曲线图有空白页怎么办?
生存分析绘制生存曲线
2018年12月1日,人生生命曲线的一个重要时间节点
最全生存曲线的绘制
更多推荐
生命曲线图
生存曲线图解读
生存曲线
生命曲线
曲线图片
曲线图
曲线构图
生存图片
曲线
第二曲线
最速曲线
曲线构成
圆曲线
is曲线
平曲线
认知曲线
曲线迷人
极化曲线
曲线行驶
生存配图
心形曲线
曲线手绘
幅频特性曲线
曲线怎么画
生存
供求曲线
空岛生存
正态分布曲线
氧解离曲线
数学曲线