首页
伤感说说
动漫配图
心情说说
抖音文案
伤感图片
伤感说说:
伤感的句子说说心情
空间说说
心情说说
爱情说说
女生伤感说说
人生感悟
心情不好的说说
说说带图片
关于生活的说说
说说心情短语
qq空间说说带图片
个性说说
励志名言
一句话经典语录
感悟人生的经典句子
短句吧
情感故事
抖音文案
伤感图片:
伤感图片带字
非主流伤感图片
唯美伤感图片
女生伤感图片
唯美意境图片
悲伤的图片
唯美意境伤感图片
只有字的伤感图片
说说图片
伤心的图片
美甲图片
图片大全
情感图片
微信头像男
动态壁纸
动漫配图
伤感图片
首页
>
cos平方降次
cos平方降次,cos²x-1
展开全部 倍角公式降次 过程如下图: 向左转 向右转
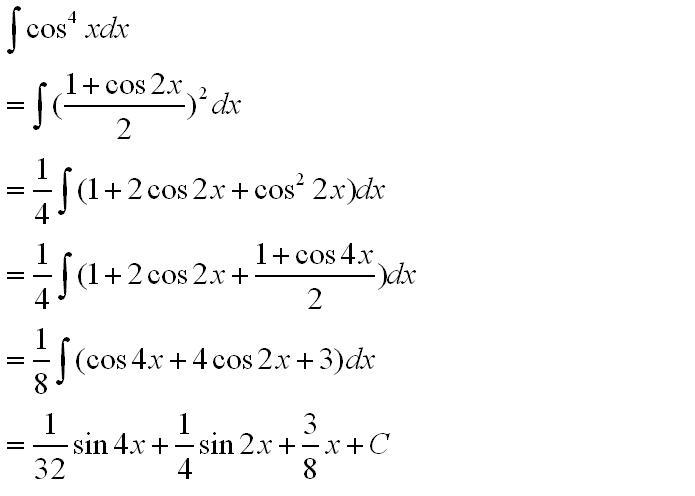
cos的四次方a的原函数是什么?
三角函数降次公式
cosx的3次方如何降次,降次后的结果是什么.
函数值的和乘以常数的形式,所以使用积化和差公式可以达到降次的效果
更多推荐
cos²x-1
y=sinx+cosx的图像
cos tan sin 角度表
xcosx的图像
arccosx的导数
cos(1/x)的图像
sincostan象限正负图
arccos1/x图像
cos三角函数公式表
cos2π
cos度数
cos是什么意思
cos三角函数值表
cosx^2的图像
tansincos的数值表
y=arccosx图像
cos tan
cos三角函数表
p=2a(2+cosθ)图像
y=cosx
三角函数cos图像
cos表
tan sin cos 图像
sincos函数图像
sinx+cosx
sin,cos图像
cos2x求导
y=2cosx的图像
cos2x的图像怎么画
cosπ等于多少