首页
伤感说说
动漫配图
心情说说
抖音文案
伤感图片
伤感说说:
伤感的句子说说心情
空间说说
心情说说
爱情说说
女生伤感说说
人生感悟
心情不好的说说
说说带图片
关于生活的说说
说说心情短语
qq空间说说带图片
个性说说
励志名言
一句话经典语录
感悟人生的经典句子
短句吧
情感故事
抖音文案
伤感图片:
伤感图片带字
非主流伤感图片
唯美伤感图片
女生伤感图片
唯美意境图片
悲伤的图片
唯美意境伤感图片
只有字的伤感图片
说说图片
伤心的图片
美甲图片
图片大全
情感图片
微信头像男
动态壁纸
动漫配图
伤感图片
首页
>
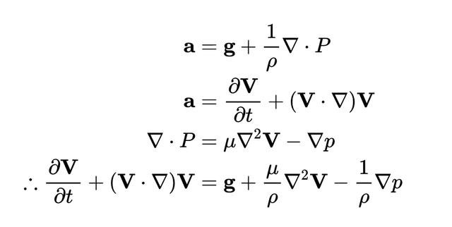
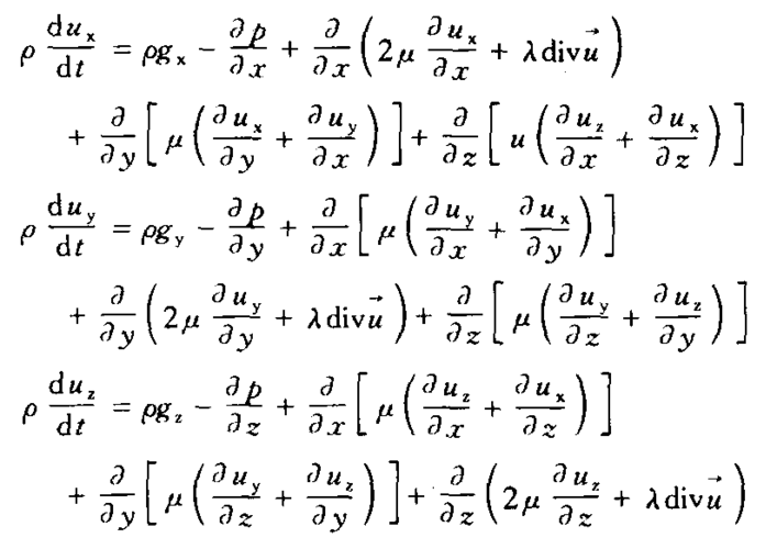
斯托克斯方程
斯托克斯方程,纳维斯托克斯方程
纳维-斯托克斯方程
球坐标系下旋度公式的简便推导斯托克斯定理
10.7 斯托克斯公式ppt
纳维-斯托克斯方程(n-s方程)详细推导ppt
改变世界的方程之纳维尔-斯托克斯方程,堪称最难的物理学方程
更多推荐
纳维斯托克斯方程
斯托克斯
斯托克
斯托克城
阿莉森斯托克
斯托克剧照
斯托克公园
斯托克电影
斯托克豆瓣
斯托克城队
方程方法
斯托克海报
斯托克细节解析
方程
艾莉森斯托克
斯托克城老板
斯托克城球衣
斯托克电影豆瓣
斯托克剧情全解析
斯托克城普雷斯顿
斯托克城队徽
英国斯托克公园
分数方程
式与方程
斯托克马修古迪
方程算式
方程计算题
解方程
撑杆跳女神斯托克
二元一次方程