首页
伤感说说
动漫配图
心情说说
抖音文案
伤感图片
伤感说说:
伤感的句子说说心情
空间说说
心情说说
爱情说说
女生伤感说说
人生感悟
心情不好的说说
说说带图片
关于生活的说说
说说心情短语
qq空间说说带图片
个性说说
励志名言
一句话经典语录
感悟人生的经典句子
短句吧
情感故事
抖音文案
伤感图片:
伤感图片带字
非主流伤感图片
唯美伤感图片
女生伤感图片
唯美意境图片
悲伤的图片
唯美意境伤感图片
只有字的伤感图片
说说图片
伤心的图片
美甲图片
图片大全
情感图片
微信头像男
动态壁纸
动漫配图
伤感图片
首页
>
cosx的平方
cosx的平方,cosx的平方等于
y=cosx的图像是什么,怎么得出来的
cosx的平方的不定积分怎么求
cosx的平方的不定积分怎么求
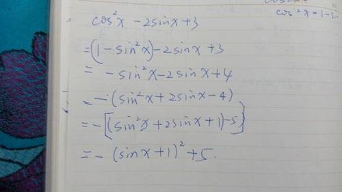
cosx的平方-2sinx 3的化简
sinx的平方 cosx的平方=1叫什么公式?谢谢!
更多推荐
cosx的平方等于
cosx的平方的导数
cosx的平方图像
cosx的平方的原函数
sinx的平方
cosx的平方的积分
cosθ的平方的图像
x的平方
cosx的2次方图像
cosx的绝对值的图像
cosx
y=cosx
y=cosx的图像
sinx图像和cosx图像
cosx性质
cosx分之一的图像
cosx图像
y=cosx+1的图像
arccosx图像
y=cosx的函数图像
4平方
平方
1平方
一平方
y=cosx的图像和性质
10平方
cosx图像及性质
平方怎么算
一平方米
1平方是多大