首页
伤感说说
动漫配图
心情说说
抖音文案
伤感图片
伤感说说:
伤感的句子说说心情
空间说说
心情说说
爱情说说
女生伤感说说
人生感悟
心情不好的说说
说说带图片
关于生活的说说
说说心情短语
qq空间说说带图片
个性说说
励志名言
一句话经典语录
感悟人生的经典句子
短句吧
情感故事
抖音文案
伤感图片:
伤感图片带字
非主流伤感图片
唯美伤感图片
女生伤感图片
唯美意境图片
悲伤的图片
唯美意境伤感图片
只有字的伤感图片
说说图片
伤心的图片
美甲图片
图片大全
情感图片
微信头像男
动态壁纸
动漫配图
伤感图片
首页
>
1的无穷次方求极限
1的无穷次方求极限,x的三次方
2的n次方/2n次方无穷大数列极限证明极限的格式根据数列极限的定义
如何求解0乘以无穷的极限呢?
这个函数的左右极限为什么一个是1,一个是0
无穷小无穷大极限运算法则
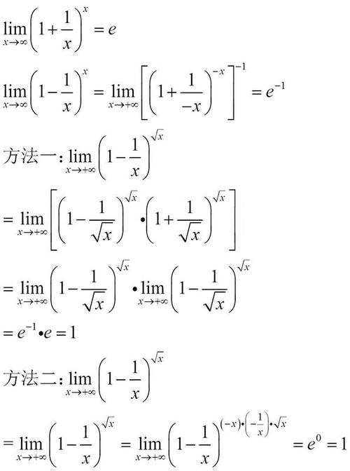
求极限:lim(x趋向于正无穷){1-1/x}的x^1/2次方(就是其根号x次方,不知
更多推荐
x的三次方
e的负x次方
求极限公式
e的x次方
求极限
2的n次方对照表
x的n次方图像
8次方
次方
八次方
三次方
x的三次方图像
e的x次方图像
极限公式
无穷的意思
y等于e的x次方图像
无穷小
无穷
无穷尽
无穷大
极限
幂次方
云次方
次方表
八次方雪糕
无穷大矢量
左极限
次方符号
极限符号
数学无穷