首页
伤感说说
动漫配图
心情说说
抖音文案
伤感图片
伤感说说:
伤感的句子说说心情
空间说说
心情说说
爱情说说
女生伤感说说
人生感悟
心情不好的说说
说说带图片
关于生活的说说
说说心情短语
qq空间说说带图片
个性说说
励志名言
一句话经典语录
感悟人生的经典句子
短句吧
情感故事
抖音文案
伤感图片:
伤感图片带字
非主流伤感图片
唯美伤感图片
女生伤感图片
唯美意境图片
悲伤的图片
唯美意境伤感图片
只有字的伤感图片
说说图片
伤心的图片
美甲图片
图片大全
情感图片
微信头像男
动态壁纸
动漫配图
伤感图片
首页
>
黎曼ζ函数
黎曼ζ函数,黎曼函数
黎曼函数
黎曼ζ函数
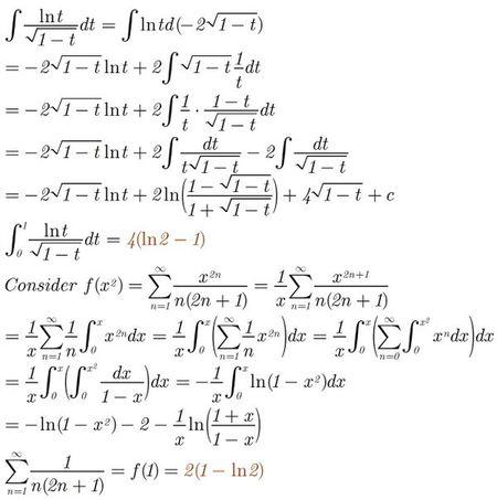
【200分高额】关于一个含zeta函数的级数和一个广义积分的等式的证明
riemann zeta函数的一个表达式
黎曼 zeta 函数可视化
更多推荐
黎曼函数
黎曼函数图像
指数函数图像
对数函数图像
函数
黎曼
一次函数
函数公式
黎曼流形
函数图像
狄利克雷函数
黎曼积分
黎曼空间
三角函数
黎曼曲面
一次函数图像
if函数
二次函数图像
幂函数图像
徐黎曼
函数表
黎曼几何
爱心函数
黎曼球面
黎曼手稿
三角函数图像
cos函数
狄利克雷函数图像
sin函数图像
黎曼图片