首页
伤感说说
动漫配图
心情说说
抖音文案
伤感图片
伤感说说:
伤感的句子说说心情
空间说说
心情说说
爱情说说
女生伤感说说
人生感悟
心情不好的说说
说说带图片
关于生活的说说
说说心情短语
qq空间说说带图片
个性说说
励志名言
一句话经典语录
感悟人生的经典句子
短句吧
情感故事
抖音文案
伤感图片:
伤感图片带字
非主流伤感图片
唯美伤感图片
女生伤感图片
唯美意境图片
悲伤的图片
唯美意境伤感图片
只有字的伤感图片
说说图片
伤心的图片
美甲图片
图片大全
情感图片
微信头像男
动态壁纸
动漫配图
伤感图片
首页
>
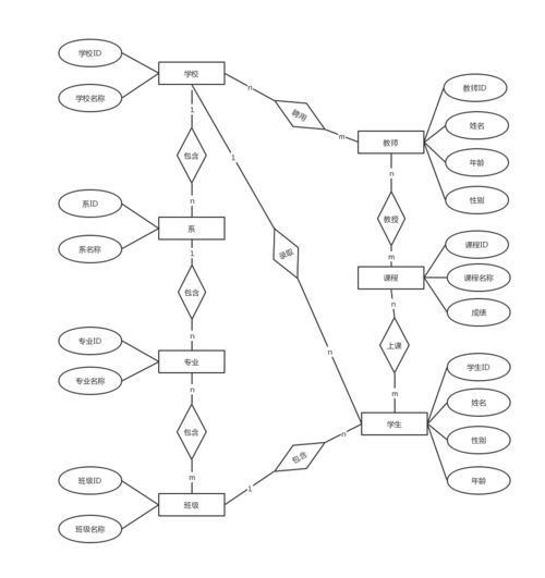
学校专业er图
学校专业er图,学校er图
宿舍管理系统er图
在线考试系统数据库er图
er图 | processon免费在线作图,在线流程图,在线思维
学生班级教师er图
超市进销存-er图
更多推荐
学校er图
学校与校长关系的er图
学校管理系统er图
er图学生
图书馆er图
大学专业
学校学生
管理系统er图
学生信息管理系统er图
专业图片
学校平面图
er图多对多
er图
带专业的图片
er图一对一
学校图片
学校效果图
班级和学生的关系er图
系统er图
er图实体
白城医学高等专科学校
专业
技术学校
数据库er图
商品er图
er图怎么画
专业专注
专业选择
网上购物系统er图
er图超市