首页
伤感说说
动漫配图
心情说说
抖音文案
伤感图片
伤感说说:
伤感的句子说说心情
空间说说
心情说说
爱情说说
女生伤感说说
人生感悟
心情不好的说说
说说带图片
关于生活的说说
说说心情短语
qq空间说说带图片
个性说说
励志名言
一句话经典语录
感悟人生的经典句子
短句吧
情感故事
抖音文案
伤感图片:
伤感图片带字
非主流伤感图片
唯美伤感图片
女生伤感图片
唯美意境图片
悲伤的图片
唯美意境伤感图片
只有字的伤感图片
说说图片
伤心的图片
美甲图片
图片大全
情感图片
微信头像男
动态壁纸
动漫配图
伤感图片
首页
>
410不锈钢化学成分
410不锈钢化学成分,不锈钢化学成分表
建筑/土木 各种不锈钢的化学成分 双相钢 71 铁素体 430 410s 410
不锈钢牌号化学成分对照表
常用不锈钢材料对照表 美国通用不锈钢和耐热钢热轧板钢号与化学成分
不锈钢材料化学成分
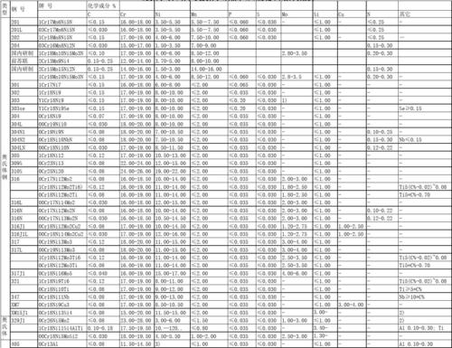
常用不锈钢化学成分表
更多推荐
不锈钢化学成分表
碳钢化学成分对照表
410不锈钢
410不锈钢餐具
不锈钢440
钢材化学成分对照表
410不锈钢蒸锅
410不锈钢圆片
410不锈钢勺子
431不锈钢
化学成分
409l不锈钢
420不锈钢
4cr13不锈钢
化学成分对照表
化学成分结构
410不锈钢是食品级的吗
不锈钢316
416不锈钢
409不锈钢
301不锈钢
医用不锈钢
铝锭化学成分对照表
各种不锈钢
不锈钢
化学成分图片
不锈钢材质
不锈钢颜色
拉丝不锈钢
不锈钢方管