首页
伤感说说
动漫配图
心情说说
抖音文案
伤感图片
伤感说说:
伤感的句子说说心情
空间说说
心情说说
爱情说说
女生伤感说说
人生感悟
心情不好的说说
说说带图片
关于生活的说说
说说心情短语
qq空间说说带图片
个性说说
励志名言
一句话经典语录
感悟人生的经典句子
短句吧
情感故事
抖音文案
伤感图片:
伤感图片带字
非主流伤感图片
唯美伤感图片
女生伤感图片
唯美意境图片
悲伤的图片
唯美意境伤感图片
只有字的伤感图片
说说图片
伤心的图片
美甲图片
图片大全
情感图片
微信头像男
动态壁纸
动漫配图
伤感图片
首页
>
传感器尺寸大小表
传感器尺寸大小表,照片尺寸大小对照表
温度传感器阻值表3380 10k
3英寸的意思是代表传感器对角线长度的吧?大约是1.1cm.可是图中1/2.
纸张尺寸对照表pdf1页
产品名称:称重传感器
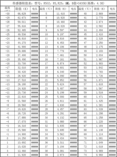
标准5k传感器阻值表
更多推荐
照片尺寸大小对照表
4寸照片尺寸大小
四寸照片尺寸大小
五寸照片尺寸大小
尺寸大小
三寸照片尺寸大小
相框尺寸大小对照表
四开纸的尺寸大小
八开纸的尺寸大小
纸张尺寸大小
a4图幅尺寸大小
照片尺寸大小
照片尺寸大小对比
蛋糕尺寸大小
八大传感器
照片尺寸大小对照图
照片尺寸大小图片
a4图片的像素尺寸大小
传感器的分类
证件照尺寸大小
蛋糕尺寸大小参考图
角度传感器
传感器示意图
传感器
振动传感器
ps图片调整尺寸大小
速度传感器
水位传感器
蛋糕尺寸大小参照图片
水温传感器