首页
伤感说说
动漫配图
心情说说
抖音文案
伤感图片
伤感说说:
伤感的句子说说心情
空间说说
心情说说
爱情说说
女生伤感说说
人生感悟
心情不好的说说
说说带图片
关于生活的说说
说说心情短语
qq空间说说带图片
个性说说
励志名言
一句话经典语录
感悟人生的经典句子
短句吧
情感故事
抖音文案
伤感图片:
伤感图片带字
非主流伤感图片
唯美伤感图片
女生伤感图片
唯美意境图片
悲伤的图片
唯美意境伤感图片
只有字的伤感图片
说说图片
伤心的图片
美甲图片
图片大全
情感图片
微信头像男
动态壁纸
动漫配图
伤感图片
首页
>
杨米尔斯理论
杨米尔斯理论,杨米尔斯
杨-米尔斯理论
网友问相对论总被人提及为何杨振宁的杨米尔斯理论却很少
杨米尔斯理论
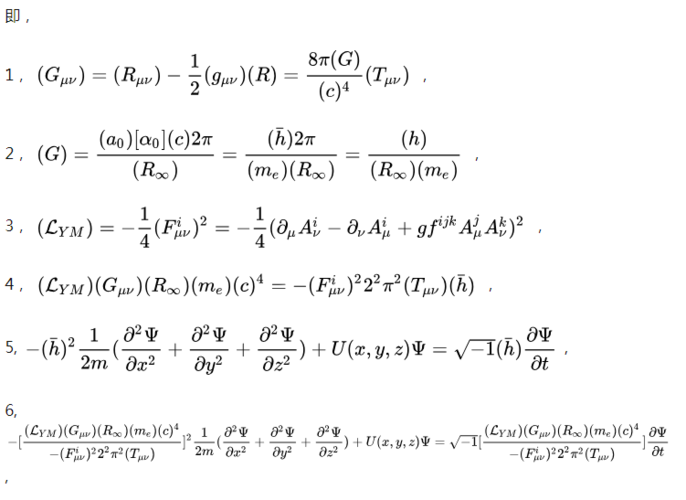
脑洞大开之杨米尔斯方程和爱因斯坦重力场方程和薛定谔方程的联立
杨-米尔斯理论50年
更多推荐
杨米尔斯
杨米尔斯场
克里斯米尔斯
米尔斯
马刺米尔斯
赖特米尔斯
罗伯特·米尔斯
诺亚·米尔斯
米尔斯手榴弹
帕特里克米尔斯
帕蒂·米尔斯
格伦米尔斯教练
米尔斯海默
米尔斯海默教授
诺亚·米尔斯肌肉
管理方格理论
米尔斯海默中国
理论
米尔斯探秘生态中国
马斯洛需求理论
超级中国米尔斯海默
需要层次理论
理论知识
Z理论
马斯洛需求层次理论
马斯诺需要层次理论
u型理论
爱情理论
理论与实践
万物理论剧照