首页
伤感说说
动漫配图
心情说说
抖音文案
伤感图片
伤感说说:
伤感的句子说说心情
空间说说
心情说说
爱情说说
女生伤感说说
人生感悟
心情不好的说说
说说带图片
关于生活的说说
说说心情短语
qq空间说说带图片
个性说说
励志名言
一句话经典语录
感悟人生的经典句子
短句吧
情感故事
抖音文案
伤感图片:
伤感图片带字
非主流伤感图片
唯美伤感图片
女生伤感图片
唯美意境图片
悲伤的图片
唯美意境伤感图片
只有字的伤感图片
说说图片
伤心的图片
美甲图片
图片大全
情感图片
微信头像男
动态壁纸
动漫配图
伤感图片
首页
>
咪唑啉结构式
咪唑啉结构式,咪唑结构式
咪唑啉结构图
咪唑是分子结构中含有两个间位氮原子的五元芳杂环化合物,咪唑环中的1
咪唑结构式图片|288-32-4结构式图片
两性表面活性剂—咪唑啉
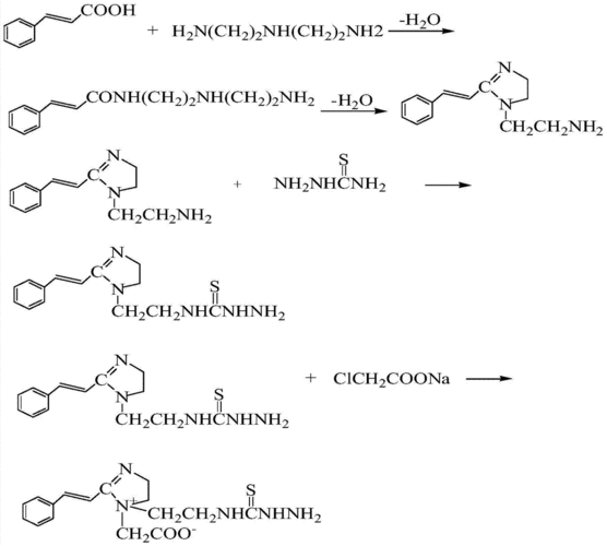
一种咪唑啉两性表面活性剂及制备方法技术
更多推荐
咪唑结构式
咪唑基结构式
咪唑啉
氨基酸结构式
苯的结构式
乙醚结构式
乙酸乙酯结构式
咪唑
二甲基咪唑
乙烯结构式
咪唑基
丙硫苯咪唑
硫酸的结构式
乙酸结构式
羰基二咪唑
乙酰水杨酸结构式
甲硫咪唑
乙醇结构式
甲硫咪唑片
水杨酸结构式
葡萄糖结构式
肽键结构式
咪唑斯叮
二甲硝咪唑
结构式
咪唑烷基脲
丙烯结构式
2-甲基咪唑
甘油结构式
苯并咪唑