首页
伤感说说
动漫配图
心情说说
抖音文案
伤感图片
伤感说说:
伤感的句子说说心情
空间说说
心情说说
爱情说说
女生伤感说说
人生感悟
心情不好的说说
说说带图片
关于生活的说说
说说心情短语
qq空间说说带图片
个性说说
励志名言
一句话经典语录
感悟人生的经典句子
短句吧
情感故事
抖音文案
伤感图片:
伤感图片带字
非主流伤感图片
唯美伤感图片
女生伤感图片
唯美意境图片
悲伤的图片
唯美意境伤感图片
只有字的伤感图片
说说图片
伤心的图片
美甲图片
图片大全
情感图片
微信头像男
动态壁纸
动漫配图
伤感图片
首页
>
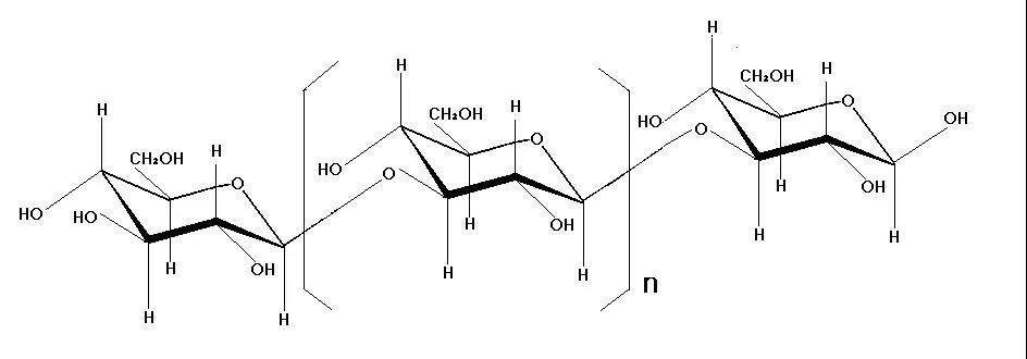
β-葡聚糖结构
β-葡聚糖结构,葡聚糖结构
谷物中β-葡聚糖结构
>> 酵母β-葡聚糖
β-1,3-葡聚糖结构式图片|9051-97-2结构式图片
【原料研究】β-葡聚糖,用粉的更划算
酵母葡聚糖为以β-1,3-葡聚糖为主链,含有少量β-1,6-葡聚糖分支结构
更多推荐
葡聚糖结构
β-葡聚糖
β-葡聚糖分子
β-葡聚糖图片
酵母β-葡聚糖
燕麦β-葡聚糖
葡聚糖
贝塔葡聚糖
β-葡聚糖凝胶敷料
葡聚糖分子式
葡聚糖凝胶柱
葡聚糖图片
葡聚糖凝胶
葡聚糖分子量
酵母葡聚糖
葡聚糖凝胶层析
燕麦葡聚糖
葡聚糖隆鼻
葡聚糖凝胶敷料
葡聚糖隆鼻图片
葡聚糖的作用与功效
葡聚糖生物肋骨鼻
结构
高的结构
牙齿结构
人体结构
结构胶
人体结构图
显微镜的基本结构
原子结构示意图