首页
伤感说说
动漫配图
心情说说
抖音文案
伤感图片
伤感说说:
伤感的句子说说心情
空间说说
心情说说
爱情说说
女生伤感说说
人生感悟
心情不好的说说
说说带图片
关于生活的说说
说说心情短语
qq空间说说带图片
个性说说
励志名言
一句话经典语录
感悟人生的经典句子
短句吧
情感故事
抖音文案
伤感图片:
伤感图片带字
非主流伤感图片
唯美伤感图片
女生伤感图片
唯美意境图片
悲伤的图片
唯美意境伤感图片
只有字的伤感图片
说说图片
伤心的图片
美甲图片
图片大全
情感图片
微信头像男
动态壁纸
动漫配图
伤感图片
首页
>
丁二酰亚胺结构式
丁二酰亚胺结构式,顺丁烯二酰亚胺结构式
丁二酰亚胺结构式
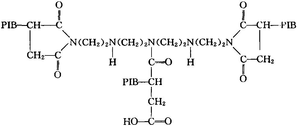
聚异丁烯丁二酰亚胺
丁二酰亚胺 别 名:琥珀酰 亚胺 cas号:123-56-8 [1] 分 子 式
n-氯代丁二酰亚胺
n-丁二酰亚胺;二氢化-3-吡咯啉-2,5-二酮 cas号: 123-56-8 分子式:c
更多推荐
顺丁烯二酰亚胺结构式
邻苯二酰亚胺结构式
聚醚酰亚胺结构式
酰亚胺结构
萘酰亚胺结构
聚乙烯亚胺结构式
丁二酰亚胺
环己酮亚胺的结构式
二酰甘油结构式
酰氯结构式
N-溴代丁二酰亚胺
酰肼基结构式
丁2基苯结构式
酰基结构式
亚胺醌结构
丁2基结构式
丁基苯结构式
叔丁基苯结构式
三酰甘油结构式
双丁酸结构式
丁氧环结构式
乙酰水杨酸结构式
乙酸乙酯结构式
水杨酰水杨酸酯结构式
萘酰亚胺
聚醚酰亚胺
乙酰水杨酸酐结构式
乙酸结构式
乙酸苯甲酸酐结构式
萘酰亚胺衍生物