首页
伤感说说
动漫配图
心情说说
抖音文案
伤感图片
伤感说说:
伤感的句子说说心情
空间说说
心情说说
爱情说说
女生伤感说说
人生感悟
心情不好的说说
说说带图片
关于生活的说说
说说心情短语
qq空间说说带图片
个性说说
励志名言
一句话经典语录
感悟人生的经典句子
短句吧
情感故事
抖音文案
伤感图片:
伤感图片带字
非主流伤感图片
唯美伤感图片
女生伤感图片
唯美意境图片
悲伤的图片
唯美意境伤感图片
只有字的伤感图片
说说图片
伤心的图片
美甲图片
图片大全
情感图片
微信头像男
动态壁纸
动漫配图
伤感图片
首页
>
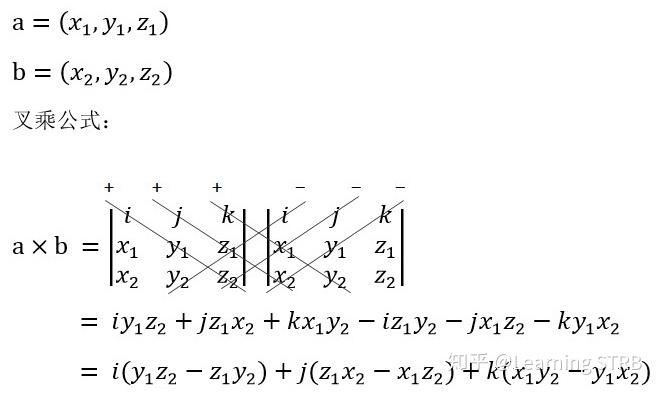
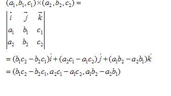
叉乘
叉乘,叉乘右手定则图解
三维坐标系中平面的法线向量采用向量叉乘法则,方向根据右手定则来
向量叉乘怎么算. 高等数学
叉乘
空间向量叉乘公式?比如a=(a,b,c),b=(e,f,g) a×b=?
俩个三维向量叉乘怎么算啊?
更多推荐
叉乘右手定则图解
向量积
叉乘方向
点乘
向量叉乘
叉乘图解
叉乘公式
向量叉乘公式
叉乘右手定则
矢量叉乘右手定则图解