首页
伤感说说
动漫配图
心情说说
抖音文案
伤感图片
伤感说说:
伤感的句子说说心情
空间说说
心情说说
爱情说说
女生伤感说说
人生感悟
心情不好的说说
说说带图片
关于生活的说说
说说心情短语
qq空间说说带图片
个性说说
励志名言
一句话经典语录
感悟人生的经典句子
短句吧
情感故事
抖音文案
伤感图片:
伤感图片带字
非主流伤感图片
唯美伤感图片
女生伤感图片
唯美意境图片
悲伤的图片
唯美意境伤感图片
只有字的伤感图片
说说图片
伤心的图片
美甲图片
图片大全
情感图片
微信头像男
动态壁纸
动漫配图
伤感图片
首页
>
merrychristmas钢琴谱
merrychristmas钢琴谱,last christmas钢琴谱
merrychristmasmrlawrencec调简单版电影圣诞快乐劳伦斯先生配乐
《merry christmas mr.lawrence》de简谱(未完)
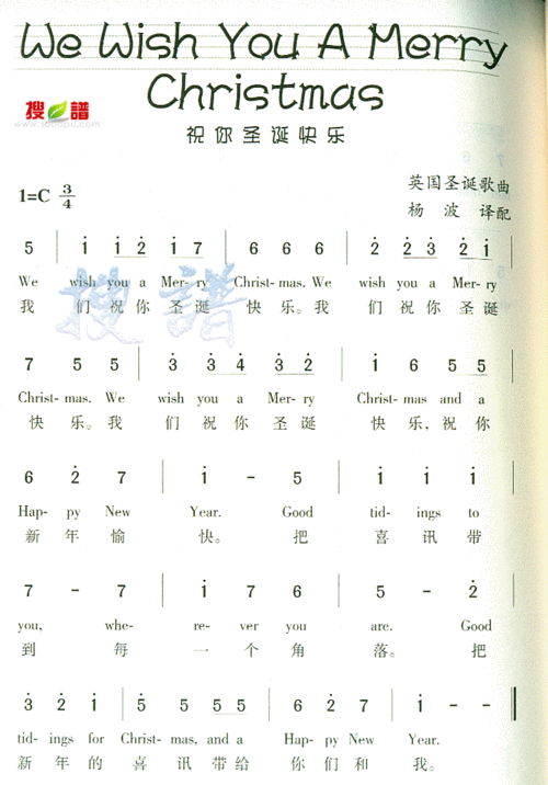
wewishyouamerrychristmas简谱
merry christmas everybody 圣诞歌曲 世界经典 初学者版 钢琴双手
merrychristmasmrlawrence圣诞快乐劳伦斯先生原声音乐双手简谱预览2
更多推荐
last christmas钢琴谱
祝你圣诞快乐钢琴谱
圣诞歌铃儿响叮当简谱
圣诞歌钢琴谱
merrychristmas简谱
MerryChristmas
Christmastree
钢琴谱简谱虫儿飞
小星星钢琴谱简谱
卡农钢琴谱简谱
钢琴谱简谱
钢琴谱简谱入门
溯钢琴谱简谱
钢琴谱
虫儿飞钢琴谱
Christmas
小星星钢琴谱
卡农钢琴谱
梦中的婚礼钢琴谱
菊次郎的夏天钢琴谱
卡农钢琴谱初学者
晴天钢琴谱
钢琴谱初学者
两只老虎钢琴谱
致爱丽丝钢琴谱
天空之城钢琴谱
送别钢琴谱
大鱼钢琴谱
起风了钢琴谱
钢琴谱可惜不是你