首页
伤感说说
动漫配图
心情说说
抖音文案
伤感图片
伤感说说:
伤感的句子说说心情
空间说说
心情说说
爱情说说
女生伤感说说
人生感悟
心情不好的说说
说说带图片
关于生活的说说
说说心情短语
qq空间说说带图片
个性说说
励志名言
一句话经典语录
感悟人生的经典句子
短句吧
情感故事
抖音文案
伤感图片:
伤感图片带字
非主流伤感图片
唯美伤感图片
女生伤感图片
唯美意境图片
悲伤的图片
唯美意境伤感图片
只有字的伤感图片
说说图片
伤心的图片
美甲图片
图片大全
情感图片
微信头像男
动态壁纸
动漫配图
伤感图片
首页
>
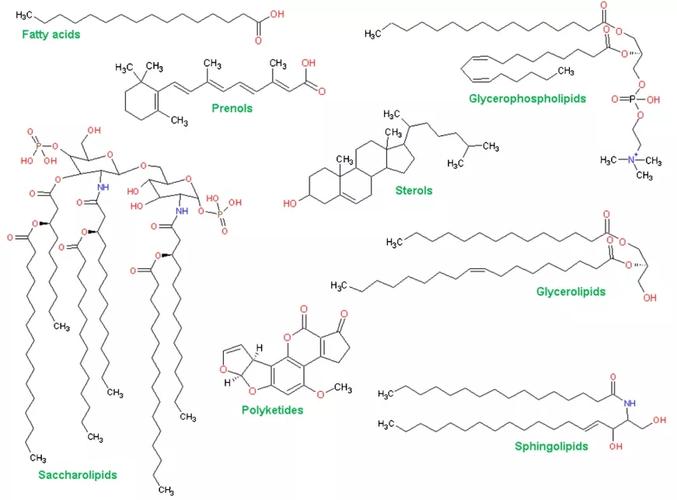
脂类分子
脂类分子,磷脂分子
脂肪分子
脂肪分子(甘油三酯)
了解脂类的组成和分类,明白为什么不能多吃人造黄油
oracle直接测试脂肪分子中的氢核完全分离出样品中的脂肪氢核信号
干货分享脂质组学入门资料
更多推荐
磷脂分子
脂类
分子
化学分子
分子人
脂类代谢
分子结构
脂类ppt
小分子
分子真实
氧分子
小分子肽
磷脂双分子层
脂类加注器
分子模型
分子结构式
右翼分子
水分子模型
分子结构图
分子卡通
精日分子
DNA分子
分子料理
脂类加注器型号
日本右翼分子
低分子肝素钠
积极分子考察表
脂类代谢高清思维导图
脂类加注器合格证图片
废油收集器合格证图片