首页
伤感说说
动漫配图
心情说说
抖音文案
伤感图片
伤感说说:
伤感的句子说说心情
空间说说
心情说说
爱情说说
女生伤感说说
人生感悟
心情不好的说说
说说带图片
关于生活的说说
说说心情短语
qq空间说说带图片
个性说说
励志名言
一句话经典语录
感悟人生的经典句子
短句吧
情感故事
抖音文案
伤感图片:
伤感图片带字
非主流伤感图片
唯美伤感图片
女生伤感图片
唯美意境图片
悲伤的图片
唯美意境伤感图片
只有字的伤感图片
说说图片
伤心的图片
美甲图片
图片大全
情感图片
微信头像男
动态壁纸
动漫配图
伤感图片
首页
>
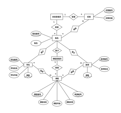
学生选课系统E-R图
学生选课系统E-R图,学生选课系统需求分析
选课系统e-r图
▍图8-17(a) 学生选课局部e-r图
学生选课系统e-r图
n 管理 课程 教师编号 课程编号 1 m m 权限功能 1 n 学生编号 系统
教务管理系统e-r图
更多推荐
学生选课系统需求分析
学生信息管理系统er图
学生选课系统uml图
学生选课管理系统E-R图
学生选课系统状态图
学生选课系统
学生选课系统类图
学生选课系统用例图
学生选课系统er图图片
学生选课系统er图
学生选课管理的e╟r图
学生选课管理系统er图
学生选课系统关系图
学生选课系统数据字典
学生选课er图
学生选课管理系统
学生选课管理的E–R图
大学选课
选课系统
选课
选课图片
学生
选课成功图片
老师和学生
学生上课
学生服
选课表情包
学生头
jk学生
学生日记