首页
伤感说说
动漫配图
心情说说
抖音文案
伤感图片
伤感说说:
伤感的句子说说心情
空间说说
心情说说
爱情说说
女生伤感说说
人生感悟
心情不好的说说
说说带图片
关于生活的说说
说说心情短语
qq空间说说带图片
个性说说
励志名言
一句话经典语录
感悟人生的经典句子
短句吧
情感故事
抖音文案
伤感图片:
伤感图片带字
非主流伤感图片
唯美伤感图片
女生伤感图片
唯美意境图片
悲伤的图片
唯美意境伤感图片
只有字的伤感图片
说说图片
伤心的图片
美甲图片
图片大全
情感图片
微信头像男
动态壁纸
动漫配图
伤感图片
首页
>
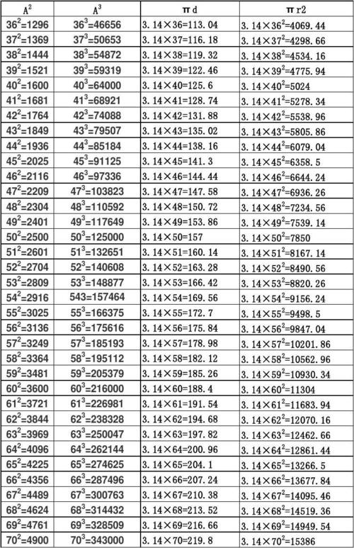
平方兀表
平方兀表,兀表1到100位
100以内数的平方a2立方a3圆周长πd和圆面积πr2.doc 3页
100以内π值_50以内平方数
平方,立方,π表
100以内π值-50以内平方数(1).pdf 2页
100以内数的平方圆周长πd和圆面积πr2
更多推荐
兀表1到100位
平方兀
平方兀值表
平方表
10平方
平方
4平方
1平方
一平方
x的平方
平方米
一平方米
一平方多大
平方怎么算
电线平方
1平方是多大
一个平方有多大
电线的规格平方对照表
电线平方与功率对照表
铜线平方与功率对照表
铜线平方与电流对照表
电缆线规格型号平方
一百平方房屋设计图
70平方米的房子设计图
200平方房子设计图
150平方房子设计图