首页
伤感说说
动漫配图
心情说说
抖音文案
伤感图片
伤感说说:
伤感的句子说说心情
空间说说
心情说说
爱情说说
女生伤感说说
人生感悟
心情不好的说说
说说带图片
关于生活的说说
说说心情短语
qq空间说说带图片
个性说说
励志名言
一句话经典语录
感悟人生的经典句子
短句吧
情感故事
抖音文案
伤感图片:
伤感图片带字
非主流伤感图片
唯美伤感图片
女生伤感图片
唯美意境图片
悲伤的图片
唯美意境伤感图片
只有字的伤感图片
说说图片
伤心的图片
美甲图片
图片大全
情感图片
微信头像男
动态壁纸
动漫配图
伤感图片
首页
>
cos2分之x
cos2分之x,Cos2x
cos2x的图像是什么?
cosx为什么等于1/2(1 cos2x)
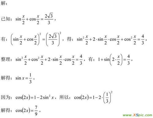
已知sin2分之x cos2分之x=3分之2根号3,那么sinx的值为?cos2x的值为?
cos(x π/4)=-sin(x-π/4)吗
在图中转化中,从负二分之丌到4分之丌时,cos x大于sin
更多推荐
Cos2x
sin2x等于多少