首页
伤感说说
动漫配图
心情说说
抖音文案
伤感图片
伤感说说:
伤感的句子说说心情
空间说说
心情说说
爱情说说
女生伤感说说
人生感悟
心情不好的说说
说说带图片
关于生活的说说
说说心情短语
qq空间说说带图片
个性说说
励志名言
一句话经典语录
感悟人生的经典句子
短句吧
情感故事
抖音文案
伤感图片:
伤感图片带字
非主流伤感图片
唯美伤感图片
女生伤感图片
唯美意境图片
悲伤的图片
唯美意境伤感图片
只有字的伤感图片
说说图片
伤心的图片
美甲图片
图片大全
情感图片
微信头像男
动态壁纸
动漫配图
伤感图片
首页
>
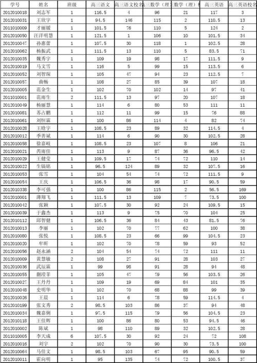
高中成绩单表格模板
高中成绩单表格模板,高中成绩单模板
总分成绩表理科
高中三年成绩单模板.pdf
成绩单模板
高中成绩表模板(自动计算总分,平均分等)
高中学生成绩总表模板
更多推荐
高中成绩单模板
高中成绩单
高中个人成绩单图片
高中成绩表格图片
个人成绩单模板
成绩单模板
高考成绩单模板
高中成绩单模板表格
高中成绩单表格
成绩单表格模板
个人成绩单表格模板
大学成绩单模板表格
大学生成绩单表格模板
学生成绩表格模板
成绩单表格
学生成绩单模板
成绩单表格制作
小学生成绩单模板
大学成绩单模板
大学生成绩单模板
高中成绩单图片
高中考试成绩单图片
高中会考成绩单
高中毕业成绩单
高中理科成绩单
高中成绩单出国
高中文科成绩单
成绩单考试成绩
表格模板
高三成绩单