首页
伤感说说
动漫配图
心情说说
抖音文案
伤感图片
伤感说说:
伤感的句子说说心情
空间说说
心情说说
爱情说说
女生伤感说说
人生感悟
心情不好的说说
说说带图片
关于生活的说说
说说心情短语
qq空间说说带图片
个性说说
励志名言
一句话经典语录
感悟人生的经典句子
短句吧
情感故事
抖音文案
伤感图片:
伤感图片带字
非主流伤感图片
唯美伤感图片
女生伤感图片
唯美意境图片
悲伤的图片
唯美意境伤感图片
只有字的伤感图片
说说图片
伤心的图片
美甲图片
图片大全
情感图片
微信头像男
动态壁纸
动漫配图
伤感图片
首页
>
SEM模型
SEM模型,amos模型
sem竞价推广烧钱快没效果没转化该如何解决
结构方程模型(structural equation modeling,sem)
求助sem中的单因子,双因子,三因子模型是什么意思?
sem模型
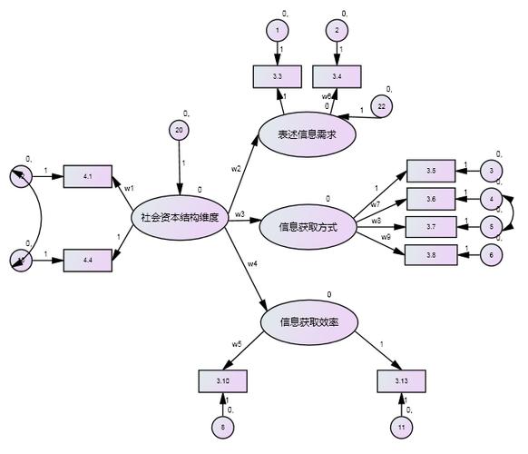
sem路径系数结构图
更多推荐
amos模型
acsi模型
pls-sem模型
sar模型
模型
生物模型
五力模型
沙盘模型
模型制作
模型学生
女模型
火箭模型
燕尾模型
人体模型
半角模型
手办模型
dna模型
蝴蝶模型
模型姐妹
swot分析模型
手拉手模型
冰山模型
波特五力模型
3d打印模型
变态手办模型
osi七层模型
人体骨架模型
膳食宝塔模型