首页
伤感说说
动漫配图
心情说说
抖音文案
伤感图片
伤感说说:
伤感的句子说说心情
空间说说
心情说说
爱情说说
女生伤感说说
人生感悟
心情不好的说说
说说带图片
关于生活的说说
说说心情短语
qq空间说说带图片
个性说说
励志名言
一句话经典语录
感悟人生的经典句子
短句吧
情感故事
抖音文案
伤感图片:
伤感图片带字
非主流伤感图片
唯美伤感图片
女生伤感图片
唯美意境图片
悲伤的图片
唯美意境伤感图片
只有字的伤感图片
说说图片
伤心的图片
美甲图片
图片大全
情感图片
微信头像男
动态壁纸
动漫配图
伤感图片
首页
>
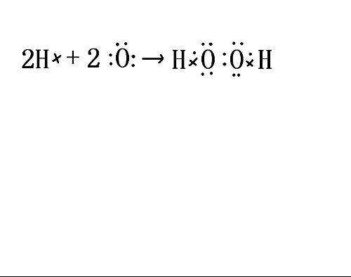
h2o2电子式
h2o2电子式,Na2O电子式
过氧化氢电子式
几种重要物质的电子式: naoh na [ - na2o2 na ]2- o o na h2o2
h2o2电子式形成过程
过氧化氢的电子式怎么写
h2o2 电子式见下图产物 很明显:两个氧原子之间是非极性
更多推荐
Na2O电子式
KOH电子式
Hclo电子式
NA2O2电子式
c2h4电子式
naoh电子式
CH4电子式
nh4cl的电子式
HCN电子式
c2h2电子式
na2s电子式
CaF2电子式
pcl3的电子式
OH-电子式
CS2电子式
H2S电子式
o2电子式
H2电子式
CO2电子式
CCl4电子式
NaH电子式
K2S电子式
NaClO电子式
MgCl2电子式
h2o2结构式
cl2电子式
cacl2电子式
h2o2的电子式
o2的电子式
h2o2的电子式图片