首页
伤感说说
动漫配图
心情说说
抖音文案
伤感图片
伤感说说:
伤感的句子说说心情
空间说说
心情说说
爱情说说
女生伤感说说
人生感悟
心情不好的说说
说说带图片
关于生活的说说
说说心情短语
qq空间说说带图片
个性说说
励志名言
一句话经典语录
感悟人生的经典句子
短句吧
情感故事
抖音文案
伤感图片:
伤感图片带字
非主流伤感图片
唯美伤感图片
女生伤感图片
唯美意境图片
悲伤的图片
唯美意境伤感图片
只有字的伤感图片
说说图片
伤心的图片
美甲图片
图片大全
情感图片
微信头像男
动态壁纸
动漫配图
伤感图片
首页
>
丙烯酸树脂结构式
丙烯酸树脂结构式,丙烯酸树脂结构
丙烯酸树脂
产品介绍 树脂材料电气绝缘材料 功能性丙烯酸酯 化学名称 poly
所有分类 工程科技 能源/化工 丙烯酸树脂ppt ch3 ch2 c n 结构特点
e-20环氧树脂丙烯酸酯的合成及表征
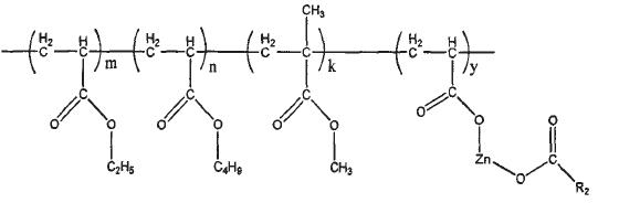
丙烯酸锌树脂结构式 ( )丙烯酸铜树脂结构式
更多推荐
丙烯酸树脂结构
丙烯酸树脂分子式
丙烯酸树脂
热固性丙烯酸树脂
热塑性丙烯酸树脂
水性丙烯酸树脂
丙烯结构式
水性羟基丙烯酸树脂
丙烯酸树脂乳液
丙烯酸树脂漆
固体水性丙烯酸树脂
乙酸乙酯结构式
乙酸结构式
乙烯结构式
固体热塑性丙烯酸树脂
水性自干丙烯酸树脂
改性丙烯酸树脂乳液
万华水性丙烯酸树脂
硫酸的结构式
氨基酸结构式
苯的结构式
结构式
肽键结构式
水杨酸结构式
乙醇结构式
水的结构式
hno3结构式
乙醚结构式
路易斯结构式
乙酰水杨酸结构式