首页
伤感说说
动漫配图
心情说说
抖音文案
伤感图片
伤感说说:
伤感的句子说说心情
空间说说
心情说说
爱情说说
女生伤感说说
人生感悟
心情不好的说说
说说带图片
关于生活的说说
说说心情短语
qq空间说说带图片
个性说说
励志名言
一句话经典语录
感悟人生的经典句子
短句吧
情感故事
抖音文案
伤感图片:
伤感图片带字
非主流伤感图片
唯美伤感图片
女生伤感图片
唯美意境图片
悲伤的图片
唯美意境伤感图片
只有字的伤感图片
说说图片
伤心的图片
美甲图片
图片大全
情感图片
微信头像男
动态壁纸
动漫配图
伤感图片
首页
>
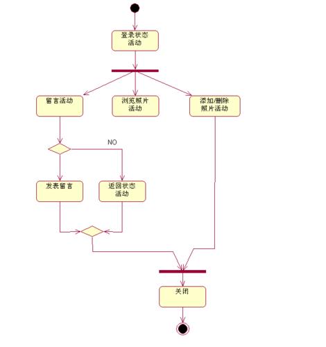
状态变量图画图步骤
状态变量图画图步骤,状态变量图怎么画
uml状态图与活动图
uml ----状态图
uml-状态图
网络招生报名系统状态图
状态变量图ppt
更多推荐
状态变量图怎么画
画出系统的状态变量图
状态变量图
cad画图步骤
立面图画图步骤
新手天正画图步骤
cad画图步骤简单
链轮画图步骤
齿轮画图步骤
cad平面图画图详细步骤
变量图
三变量卡诺图怎么画
起重钩画图步骤
变量图标
起重钩画图步骤手绘
画图图标
变量思维导图
变量类型
画图画
变量
变量叶片泵调节示意图
画图教程
程序变量
画图原图
画图简笔画
画图图片
裁剪裤子入门画图步骤
画图表示
画图
画图图片素描简单