首页
伤感说说
动漫配图
心情说说
抖音文案
伤感图片
伤感说说:
伤感的句子说说心情
空间说说
心情说说
爱情说说
女生伤感说说
人生感悟
心情不好的说说
说说带图片
关于生活的说说
说说心情短语
qq空间说说带图片
个性说说
励志名言
一句话经典语录
感悟人生的经典句子
短句吧
情感故事
抖音文案
伤感图片:
伤感图片带字
非主流伤感图片
唯美伤感图片
女生伤感图片
唯美意境图片
悲伤的图片
唯美意境伤感图片
只有字的伤感图片
说说图片
伤心的图片
美甲图片
图片大全
情感图片
微信头像男
动态壁纸
动漫配图
伤感图片
首页
>
化学结构式怎么画
化学结构式怎么画,怎么画化学分子结构图
图 3 几类重要的corms化学结构式 42 45 51 53
谷氨酸的化学结构式是什么啊?半天没找到,注意是化学结构式
医疗分子结构图图片
化学上的分子式,结构式,结构简式,最简式分别指的是什么
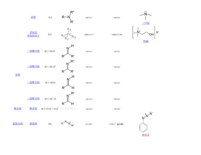
常见官能团化学结构式docx
更多推荐
怎么画化学分子结构图
化学结构式
化学结构式图
己烷结构式怎么画
硝基结构式怎么画
分子结构式怎么画
co结构式怎么画
电子结构式怎么画
硝酸结构式怎么画
二氧化硅结构式怎么画
h2o结构式怎么画
co2结构式怎么画
二茂铁结构式怎么画
果糖结构式怎么画
c3h6结构式怎么画
异丁醇结构式怎么画
化学结构式入门
化学结构式大全图
水化学结构式
化学结构简式
看结构图写出化学式
化学分子结构图
布洛芬化学结构式
原子结构示意图怎么画
化学分子结构
阿莫西林化学结构式
化学结构
电子式怎么画
化学分子式大全图
丙烯结构式