首页
伤感说说
动漫配图
心情说说
抖音文案
伤感图片
伤感说说:
伤感的句子说说心情
空间说说
心情说说
爱情说说
女生伤感说说
人生感悟
心情不好的说说
说说带图片
关于生活的说说
说说心情短语
qq空间说说带图片
个性说说
励志名言
一句话经典语录
感悟人生的经典句子
短句吧
情感故事
抖音文案
伤感图片:
伤感图片带字
非主流伤感图片
唯美伤感图片
女生伤感图片
唯美意境图片
悲伤的图片
唯美意境伤感图片
只有字的伤感图片
说说图片
伤心的图片
美甲图片
图片大全
情感图片
微信头像男
动态壁纸
动漫配图
伤感图片
首页
>
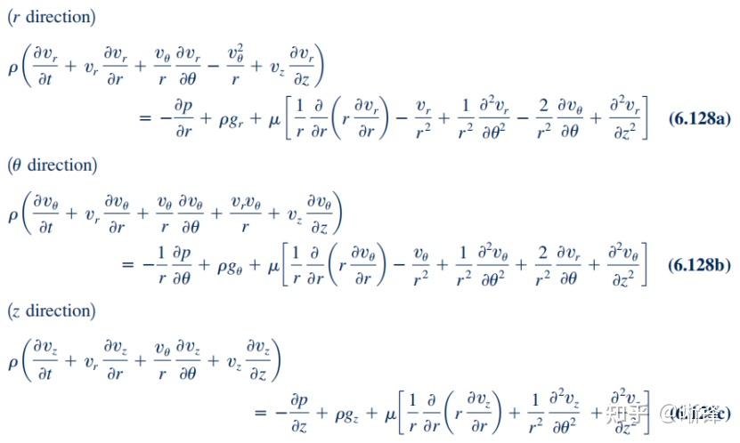
纳维斯托克斯方程
纳维斯托克斯方程,斯托克斯方程
改变世界的方程之纳维尔-斯托克斯方程,堪称最难的物理学方程
纳维-斯托克斯方程:行到水穷处,坐看云起时
682纳维斯托克斯方程式
世界十大数学难题:纳维叶-斯托克斯方程的存在性与光滑性
纳维-斯托克斯方程
更多推荐
斯托克斯方程
斯托克斯
斯托克斯公式
贾内尔斯托克斯
斯托克斯迫击炮
辽宁签约斯托克斯
方程方法
方程
式与方程
抛物线方程及图像
方程思维导图
斯托克斯81mm迫击炮
二元一次方程
分数方程
方程算式
式与方程思维导图
方程结构图
方程卡通
方程表白
简易方程思维导图
方程计算题
解方程
方程四年级
方程五年级
一元一次方程
方程手抄报
方程头像
式与方程思维导图小学
方程式
式与方程知识点整理图