首页
伤感说说
动漫配图
心情说说
抖音文案
伤感图片
伤感说说:
伤感的句子说说心情
空间说说
心情说说
爱情说说
女生伤感说说
人生感悟
心情不好的说说
说说带图片
关于生活的说说
说说心情短语
qq空间说说带图片
个性说说
励志名言
一句话经典语录
感悟人生的经典句子
短句吧
情感故事
抖音文案
伤感图片:
伤感图片带字
非主流伤感图片
唯美伤感图片
女生伤感图片
唯美意境图片
悲伤的图片
唯美意境伤感图片
只有字的伤感图片
说说图片
伤心的图片
美甲图片
图片大全
情感图片
微信头像男
动态壁纸
动漫配图
伤感图片
首页
>
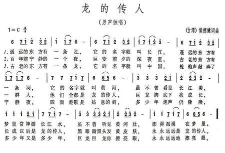
六孔陶笛龙的传人
六孔陶笛龙的传人,六孔竖笛龙的传人
龙的传人6孔六孔陶笛曲谱
《龙的传人》我们吹奏的是王力宏版,真的很好听,学这首歌的时候大家都
龙的传人简谱精确含注释记谱陶笛箫埙葫芦丝唢呐适用
陶笛十二孔曲龙的传人
第十二课 学吹《龙的传人》连音版
更多推荐
六孔竖笛龙的传人
龙的传人谱子六孔
龙的传人简谱六孔竖笛
龙的传人简谱竖笛
六孔陶笛千年风雅
六孔陶笛初学者
六孔陶笛小星星
六孔陶笛曲谱
六孔陶笛曲谱小星星
六孔陶笛曲谱简单
龙的传人葫芦丝
六孔陶笛入门教程
黑人抬棺六孔陶笛谱
女儿情六孔陶笛
六孔陶笛曲谱初学者
龙的传人谱子
龙的传人钢琴谱
龙的传人谱子c调
龙的传人五线谱
龙的传人竖笛指法图片
龙的传人吉他谱
龙的传人简谱口风琴
龙的传人简谱
龙的传人简谱钢琴谱
龙的传人葫芦丝简谱
六孔陶笛曲谱流行歌
龙的传人简谱左右手
《凉凉》陶笛六孔曲谱
六孔陶笛曲谱千与千寻
陶笛谱6孔