首页
伤感说说
动漫配图
心情说说
抖音文案
伤感图片
伤感说说:
伤感的句子说说心情
空间说说
心情说说
爱情说说
女生伤感说说
人生感悟
心情不好的说说
说说带图片
关于生活的说说
说说心情短语
qq空间说说带图片
个性说说
励志名言
一句话经典语录
感悟人生的经典句子
短句吧
情感故事
抖音文案
伤感图片:
伤感图片带字
非主流伤感图片
唯美伤感图片
女生伤感图片
唯美意境图片
悲伤的图片
唯美意境伤感图片
只有字的伤感图片
说说图片
伤心的图片
美甲图片
图片大全
情感图片
微信头像男
动态壁纸
动漫配图
伤感图片
首页
>
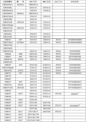
不锈钢焊条型号表
不锈钢焊条型号表,焊条型号用途对照表
不锈钢焊条的型号与熔敷金属的化学成分
不锈钢焊条牌号对照表.doc
第1页 (共10页,当前第1页) 你可能喜欢 焊条选用原则 不锈钢焊条型号
不锈钢焊条型号选择
焊条牌号,型号对照表
更多推荐
焊条型号用途对照表
常用不锈钢焊条
不锈钢焊条规格型号
钢材对应焊条对照表
不锈钢焊条型号
不锈钢焊条规格型号表
手把焊不锈钢焊条焊法
不锈钢型材规格型号表
不锈钢种类型号表
不锈钢型号大全表
不锈钢焊条规格
不锈钢焊条
102不锈钢焊条
2209不锈钢焊条
a402不锈钢焊条
a302不锈钢焊条
不锈钢型号
不锈钢法兰型号标准表
不锈钢焊条钥匙扣
不锈钢抱箍规格型号表
不锈钢卡箍规格型号表
不锈钢管材型号
不锈钢接头型号大全
不锈钢弯头规格型号表
焊条型号
不锈钢焊条做钥匙扣
不锈钢钻头型号
食用不锈钢型号对照表
不锈钢管件型号大全
简易不锈钢焊条钥匙扣