首页
伤感说说
动漫配图
心情说说
抖音文案
伤感图片
伤感说说:
伤感的句子说说心情
空间说说
心情说说
爱情说说
女生伤感说说
人生感悟
心情不好的说说
说说带图片
关于生活的说说
说说心情短语
qq空间说说带图片
个性说说
励志名言
一句话经典语录
感悟人生的经典句子
短句吧
情感故事
抖音文案
伤感图片:
伤感图片带字
非主流伤感图片
唯美伤感图片
女生伤感图片
唯美意境图片
悲伤的图片
唯美意境伤感图片
只有字的伤感图片
说说图片
伤心的图片
美甲图片
图片大全
情感图片
微信头像男
动态壁纸
动漫配图
伤感图片
首页
>
学校er图
学校er图,学校的er图
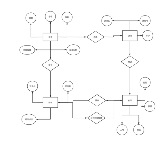
学生班级教师er图
学校er图
求学生选课系统的er图?
宿舍管理系统er图
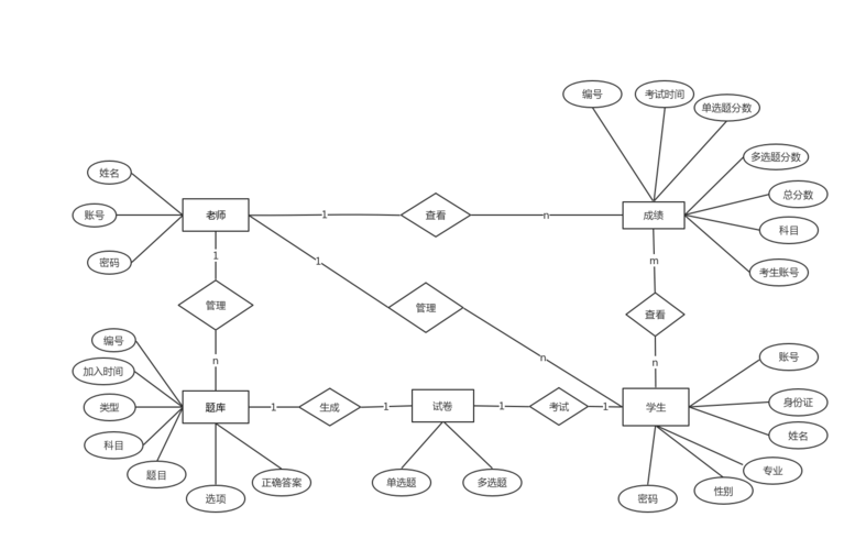
在线考试系统数据库er图
更多推荐
学校的er图
学校专业er图
旅游er图
学校er图关系模型
学校有若干个系er图
er图学生
学校与校长关系的er图
图书馆er图
学校管理系统er图
er图多对多
er图
er图一对一
系统er图
学校平面图
er图实例
商品er图
学校学生
er图超市
学校效果图
学校图片
管理系统er图
班级和学生的关系er图
数据库er图
学生信息管理系统er图
er图怎么画
er图购物车
网上购物系统er图
er图数据库设计
数据库er图实例
学校图片卡通