首页
伤感说说
动漫配图
心情说说
抖音文案
伤感图片
伤感说说:
伤感的句子说说心情
空间说说
心情说说
爱情说说
女生伤感说说
人生感悟
心情不好的说说
说说带图片
关于生活的说说
说说心情短语
qq空间说说带图片
个性说说
励志名言
一句话经典语录
感悟人生的经典句子
短句吧
情感故事
抖音文案
伤感图片:
伤感图片带字
非主流伤感图片
唯美伤感图片
女生伤感图片
唯美意境图片
悲伤的图片
唯美意境伤感图片
只有字的伤感图片
说说图片
伤心的图片
美甲图片
图片大全
情感图片
微信头像男
动态壁纸
动漫配图
伤感图片
首页
>
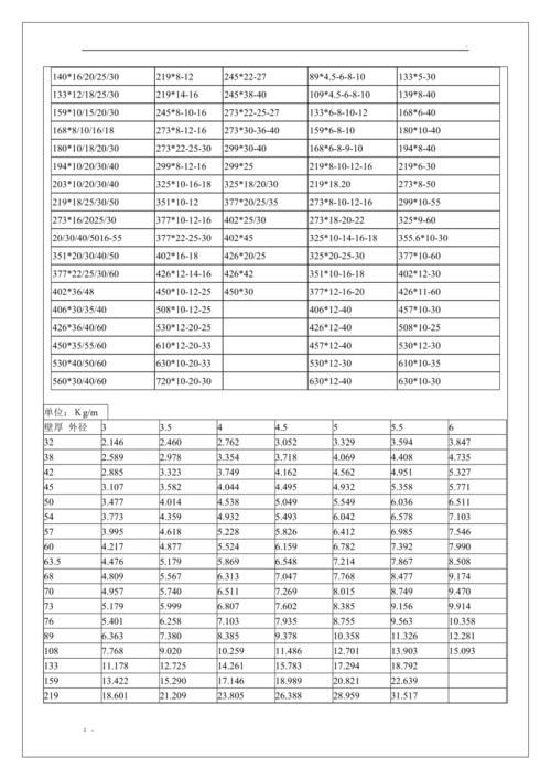
304无缝管规格表
304无缝管规格表,不锈钢304无缝管
国标无缝钢管规格表
无缝钢管规格表
304不锈钢管 各种规格厚壁/薄壁/毛细管/工业无缝管/圆管
不锈钢无缝管尺寸表
不锈钢管产品规格书
更多推荐
不锈钢304无缝管
304无缝不锈钢管规格表
304无缝管规格对照表
不锈钢无缝管规格表
无缝管规格表钢管
无缝管规格表
无缝管规格表外径
无缝管规格表壁厚
无缝钢管规格表
304无缝管
不锈钢方管规格表
钢管规格表大全
钢管型号规格表
焊管规格表
钢管无缝管
q345e无缝管
不锈钢方管规格表一览
镀锌方管规格表大全
q345d无缝管
焊接钢管壁厚规格表
镀锌管规格表
40cr无缝管
不锈钢304法兰规格表
不锈钢无缝管
h型钢规格表
45号无缝管
工字钢规格表
16mn无缝管
无缝管
热轧无缝管