首页
伤感说说
动漫配图
心情说说
抖音文案
伤感图片
伤感说说:
伤感的句子说说心情
空间说说
心情说说
爱情说说
女生伤感说说
人生感悟
心情不好的说说
说说带图片
关于生活的说说
说说心情短语
qq空间说说带图片
个性说说
励志名言
一句话经典语录
感悟人生的经典句子
短句吧
情感故事
抖音文案
伤感图片:
伤感图片带字
非主流伤感图片
唯美伤感图片
女生伤感图片
唯美意境图片
悲伤的图片
唯美意境伤感图片
只有字的伤感图片
说说图片
伤心的图片
美甲图片
图片大全
情感图片
微信头像男
动态壁纸
动漫配图
伤感图片
首页
>
湖南警察学院包分配
湖南警察学院包分配,湖南警察学院大门
湖南警察学院近三年录取详情(分市州)!2021年招生计划
武警警官学院毕业包分配
2020年湖南警察学院 公安专业招生计划
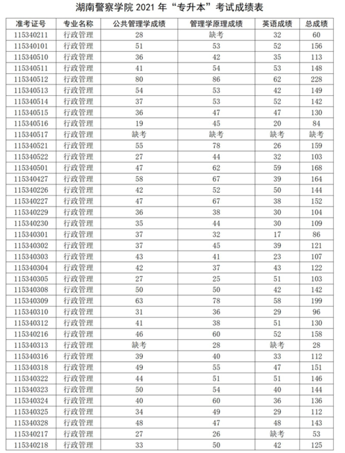
2021年湖南警察学院专升本考试成绩公布
江苏警察学院是几本 毕业能否包分配
更多推荐
湖南警察学院大门
湖南警察学院女生要求
湖南铁道警察学院
湖南警察学院 院长
湖南警察学院是几本
湖南警察学院高军
湖南警察学院领导照片
湖南警察学院照片
湖南永州科技学院
湖南财政经济学院宿舍
湖南警察学院谢滨键
湖南警察学院优秀校友
湖南警察学院图书馆
兴湘学院
湖南警察学院娄丙午
湖南警察学院专业字母
湖南警察学院高清图片
湖南警察学院谢军
湖南警察学院黄娟娟
湖南警察学院李胜
湖南经济涉外学院
湖南警察学院谢军简介
株洲师范学院
邵阳学院校园风光
湖南财政学院
株洲师范高等专科学院
湖南警察学院陈晓明
湖南警察学院校内地图
长沙市湖南警察学院
湖南文理学院法学院