首页
伤感说说
动漫配图
心情说说
抖音文案
伤感图片
伤感说说:
伤感的句子说说心情
空间说说
心情说说
爱情说说
女生伤感说说
人生感悟
心情不好的说说
说说带图片
关于生活的说说
说说心情短语
qq空间说说带图片
个性说说
励志名言
一句话经典语录
感悟人生的经典句子
短句吧
情感故事
抖音文案
伤感图片:
伤感图片带字
非主流伤感图片
唯美伤感图片
女生伤感图片
唯美意境图片
悲伤的图片
唯美意境伤感图片
只有字的伤感图片
说说图片
伤心的图片
美甲图片
图片大全
情感图片
微信头像男
动态壁纸
动漫配图
伤感图片
首页
>
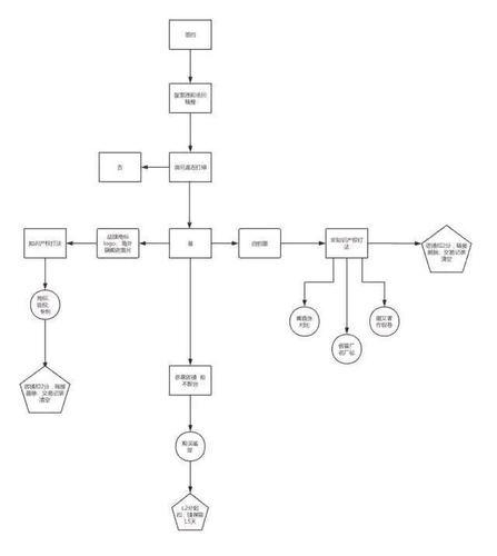
淘宝退款流程图
淘宝退款流程图,淘宝退款流程
淘宝退款流程图
手机淘宝网购流程制作
淘宝客服退货流程图
淘宝换货怎么操作流程淘宝申请换货的条件
淘宝控价是怎么处理的?品牌方遇到淘宝低价怎么办?
更多推荐
淘宝退款流程
退货退款流程图
淘宝退款图片截图
退款流程图
淘宝退货流程
淘宝退款图片
淘宝退款截图
退货退款流程
淘宝申请退款截图图片
淘宝开店教程流程
淘宝退款成功截图图片
淘宝退款成功图片
淘宝退款成功截图
淘宝开店流程图片
淘宝退款
手机淘宝退款图片
退货退款图片真实
退款流程
淘宝申请退款
淘宝退货截图
淘宝退款成功
淘宝开店步骤流程图
退货流程图
手机淘宝开店流程图
淘宝退货图片真实
淘宝开店流程步骤图片
淘宝退货成功截图
淘宝开店流程步骤
退款成功图
退款失败图