首页
伤感说说
动漫配图
心情说说
抖音文案
伤感图片
伤感说说:
伤感的句子说说心情
空间说说
心情说说
爱情说说
女生伤感说说
人生感悟
心情不好的说说
说说带图片
关于生活的说说
说说心情短语
qq空间说说带图片
个性说说
励志名言
一句话经典语录
感悟人生的经典句子
短句吧
情感故事
抖音文案
伤感图片:
伤感图片带字
非主流伤感图片
唯美伤感图片
女生伤感图片
唯美意境图片
悲伤的图片
唯美意境伤感图片
只有字的伤感图片
说说图片
伤心的图片
美甲图片
图片大全
情感图片
微信头像男
动态壁纸
动漫配图
伤感图片
首页
>
行列式
行列式,初等变换
2011-2012高等数学(22)行列式,矩阵概念与简单运算ppt
计算行列式
1_2行列式展开定理与cramer法则ppt
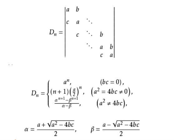
带形行列式
计算4阶行列式
更多推荐
初等变换
行列式展开
行列式建筑
逆矩阵
行列式住宅
伴随矩阵
行列式的性质
三阶行列式
解线性方程组
行列式的计算方法
行列式对角线法则
行列式计算
二阶行列式
四阶行列式
行列式布局
n阶行列式
行列式思维导图
行列式计算公式
行列式总结
行列式符号
4阶行列式计算公式
四阶行列式计算
三阶行列式计算
二阶行列式计算
4阶行列式展开式图解
四阶行列式展开图
行列式表情包
三阶行列式计算方法
三阶行列式表白图片
行列式总结框架图