首页
伤感说说
动漫配图
心情说说
抖音文案
伤感图片
伤感说说:
伤感的句子说说心情
空间说说
心情说说
爱情说说
女生伤感说说
人生感悟
心情不好的说说
说说带图片
关于生活的说说
说说心情短语
qq空间说说带图片
个性说说
励志名言
一句话经典语录
感悟人生的经典句子
短句吧
情感故事
抖音文案
伤感图片:
伤感图片带字
非主流伤感图片
唯美伤感图片
女生伤感图片
唯美意境图片
悲伤的图片
唯美意境伤感图片
只有字的伤感图片
说说图片
伤心的图片
美甲图片
图片大全
情感图片
微信头像男
动态壁纸
动漫配图
伤感图片
首页
>
cos积分
cos积分,分部积分法
这道余弦三角函数积分题用积分表该怎么解?这道题哪儿做错了?
高等数学 不定积分 r()这是什么意思,还有sin=和cos=这个是怎么来的
求(cos x)^2的积分.
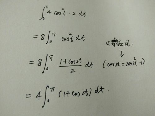
高数弧长积分题,18题,答案中4∫(1 cos2t)dt是怎么得出来的?
cos^5x的不定积分是什么?
更多推荐
分部积分法
不定积分
积分
积分公式
定积分
定积分公式
积分商城
不定积分公式
积分公式表
换元积分法
微积分公式
积分兑换
积分落户
数学积分
积分图片
积分金币
会员积分
积分卡
积分兑换专区
积分超市
积分兑换海报
梦幻西游宝宝环积分图
梦幻西游宝宝环积分表